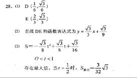
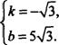
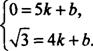
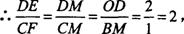
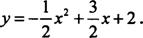
0  45363  45371  45377  45381  45387  45389  45393  45399  45401  45407  45413  45417  45419  45423  45429  45431  45437  45441  45443  45447  45449  45453  45455  45457  45458  45459  45461  45462  45463  45465  45467  45471  45473  45477  45479  45483  45489  45491  45497  45501  45503  45507  45513  45519  45521  45527  45531  45533  45539  45543  45549  45557  447348 

违法和不良信息举报电话:027-86699610 举报邮箱:58377363@163.com

精英家教网