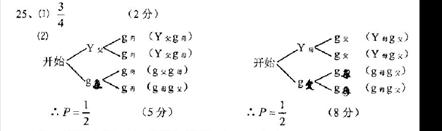
0  45617  45625  45631  45635  45641  45643  45647  45653  45655  45661  45667  45671  45673  45677  45683  45685  45691  45695  45697  45701  45703  45707  45709  45711  45712  45713  45715  45716  45717  45719  45721  45725  45727  45731  45733  45737  45743  45745  45751  45755  45757  45761  45767  45773  45775  45781  45785  45787  45793  45797  45803  45811  447348 

违法和不良信息举报电话:027-86699610 举报邮箱:58377363@163.com

精英家教网