21.(9分)在一固定容积的密闭容器中,进行如下化学反应:

CO2(g)+H2(g)    CO(g)+H2O(g);△H=QkJ·mol-1

其化学平衡常数K和温度t的关系如下:

t℃
700
800
850
1000
1200
K
0.6
0.9
1.0
1.7
2.6

请回答:

  (1)上述反应中Q     0(选填“>”或 “<”);

  (2)参判断该反应已达到化学平衡状态的依据是     

a.容器中压强不变                  b.反应热△H不变

c.v(H2)=v(CO)              d.CO2的质量分数不变

  (3)温度为850℃时,可逆反应CO2(g)+H2(g)    CO2(g)+H2(g)在固定容积的密闭容器中进行,容器内各物质的浓度变化如下表:

时间(min)
CO
H2O
CO2
H2O
0
0.200
0.300
0
0
2
0.138
0.238
0.062
0.062
3
C1
C2
C3
C3
4
C1
C2
C3
C3
5
0.116
0.216
0.084
 
6
0.096
0.266
0.104
 

①计算:3min时(CO浓度)c1=     mol/L,H2O(g)的转化率为    

②反应在4min-5min之间,平衡向逆方移动,可能的原因是     (单选),表中5min-6min之间数值发生变化,可能是原因是     (单选)。

a.增加水蒸气            b.降低温度

c.使用催化剂            d.增加氢气浓度

  22.(9分)A、B、C、D、E、是五种常见的单质,A、B、C、D在常温下均为气体,其中,C是空气中含量最多的,D是所有气体中密度最小的;D能分别跟A、B、C在一定条件下化合,生成化合物X、Y、Z;A与B、C均不能直接化合。有关转化关系如图所示(反应条件均已略去)。

回答下列问题:

  (1)A的化学式为        ,G的化学式为       

  (2) 反应①的化学方程式为       

  (3)过量E与N的稀溶液反应的离子方程式为       

  (4)若将2.8g单质E与50mL 3mol·L-1N的溶液反应,生成溶液中溶质的成分是          ,其中物质的量之比为            

  18.(12分)某链状聚酯G(聚合度为n)常被用作外科手术缝合线和骨科手术固定膜,手术后能在定期内被人体分解吸收。其合成路线如下:

 

已知:RCH2COOH         R-CH-COOH,试回答

|

Br

  (1)写出结构简式:W                  

G               

  (2)写出反应类型:④                 

               

  (3)反应⑧的条件是               

  (4)写下理列反应方程式:

                                 

                                 

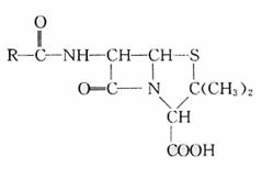
19.(6分)青霉素是常用抗生素,其结构可表示为:

 

                  (不同品种青霉素的结构式中,R-为不同的基团)。

 

  (1)阿莫西林是一种常用青霉素,它是结构式中R-为             。

①阿莫西林分子中显酸性的官能团是       (填名称);

②下列关于阿莫西林的说法中,正确的是       (填标号)。

A.是高分子化合物              B.属于芳香烃

C.分子式为C16H19O5N3S         D.可与浓溴水反应生成白色沉淀

  (2)青霉素G(C16H18O4N2S)是一种天然青霉素,其结构式中的R一为含苯环的烃基,R-的结构可能有       种。

16.(8分)某无色溶液,由Na+、Ag+、Ba2+、A13+、[A1(OH)4]-、CO32-、SO42-中的若干种组成。取该溶液进行如下实验:

(A)取适量试液,加入过量盐酸,有气体生成,并得到溶液;

(B)在(A)所得溶液中再加入过量碳酸氢铵固体,有气体生成,同时析出白色沉淀甲;

(C)在(B)所得溶液中加入过量Ba(OH)2溶液,也有气体生成,并有白色沉淀乙析出。

根据上述实验回答下列问题:

  (1)溶液中一定不存在的离子是                           

              

  (2)一定存在的离子是                            

      

  (3)沉淀乙的成份可能是                          ,进一步判断乙的成份的实验方法是                                   

                                       

            

  19.(8分)一般测定样品中成分含量的实验应重重2-3次。为了测定某氢氧化钠固体中混有的碳酸钠的质量分数,甲、乙两位同学分别设计了如下实验方案:

Ⅰ.甲同学的方案如图所示:

  (1)根据甲同学的实验装置图分析,在每次实验过程中所进行的称量操作至少要进行

       次;

  (2)甲同学重复测定了三次,得到碳酸钠的质量分数的数据存在较大的偏差,你认为可能的原因是       (填序号)。

A.装置内原有空气中的二氧化碳气体也被碱石灰吸收

B.装置外空气的水蒸气和二氧化碳被碱石灰吸收

C.反应完成后,装置中的二氧化碳没有全部被碱石灰吸收

D.加入稀硫酸的量不足

Ⅱ.乙同学的方案是:称取样品mg,并溶解,加入过量氯化钡溶液,过滤、洗涤、烘干、称量,得固体n g。

  (1)混合物中碳酸钠的质量分数为(用m、n表示)           

  (2)Ca2+、Ba2+都可以使CO32-沉淀完全,但乙同学使用氯化钡溶液而不用氯化钙溶液的原因是                                       

                                            

                                       

             

 0  37502  37510  37516  37520  37526  37528  37532  37538  37540  37546  37552  37556  37558  37562  37568  37570  37576  37580  37582  37586  37588  37592  37594  37596  37597  37598  37600  37601  37602  37604  37606  37610  37612  37616  37618  37622  37628  37630  37636  37640  37642  37646  37652  37658  37660  37666  37670  37672  37678  37682  37688  37696  447348 

违法和不良信息举报电话:027-86699610 举报邮箱:58377363@163.com

精英家教网