75.小明和小亮用如下的同一个转盘进行“配紫色”游戏.游戏规则如下:连续转动两次转盘,如果两次转盘转出的颜色相同或配成紫色(若其中一次转盘转出蓝色,另一次转出红色,则可配成紫色),则小明得1分,否则小亮得1分.你认为这个游戏对双方公平吗?请说明理由;若不公平,请你修改规则使游戏对双方公平.

 解:

   第二次
 
第一次




(红,红)
(红,黄)
(红,蓝)

(黄,红)
(黄,黄)
(黄,蓝)

(蓝,红)
(蓝,黄)
(蓝,蓝)

从表中可以得到:P(小明获胜)=,P(小亮获胜)=

∴小明的得分为×1= , 小亮的得分为 ×1=  .

,∴游戏不公平. 

修改规则不惟一.如若两次转出颜色相同或配成紫色,则小明得4分,否则小亮得5分

 76. 四张扑克牌的牌面如图①所示,将扑克牌洗均匀后,如图②背面朝上放置在桌面上。

   (1)若随机抽取一张扑克牌,则牌面数字恰好为5的概率是_____________;

   (2)规定游戏规则如下:若同时随机抽取两张扑克牌,抽到两张牌的牌面数字之和是偶数为胜;反之,则为负。你认为这个游戏是否公平?请说明理由.

 解:(1)

   (2)不公平.

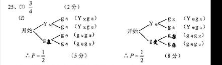
   画树状图如图所示:

   (其它方法相应给分)

   所以P(和为偶数)=,P(和为奇数)=

   因为P(和为偶数)≠P(和为奇数),所以游戏不公平.

 0  45613  45621  45627  45631  45637  45639  45643  45649  45651  45657  45663  45667  45669  45673  45679  45681  45687  45691  45693  45697  45699  45703  45705  45707  45708  45709  45711  45712  45713  45715  45717  45721  45723  45727  45729  45733  45739  45741  45747  45751  45753  45757  45763  45769  45771  45777  45781  45783  45789  45793  45799  45807  447348 

违法和不良信息举报电话:027-86699610 举报邮箱:58377363@163.com

精英家教网