23.纤维素是自然界最为丰富的可再生天然高分子资源。

⑴纤维素可制备用于造纸、纺织等的胶粘纤维[成分是(C6H10O5) n],生产过程涉及多个化学反应。工艺简图如下:

近来,化学家开发了一种使用NMMO加工纤维素的新方法,产品“Lyacell纤维”成份也是(C6H10O5) n。工艺流程示意图如下:

①   “Lyacell纤维”工艺流程中,可充分循环利用的物质是:_________________________。

②   与“Lyacell纤维”工艺相比,粘胶纤维工艺会产生含有______(只填非金属元素符号)的废物。并由此增加了生产成本。

③“Lyacell纤维”被誉为“21世纪的绿色纤维”,原因是:_________________________。

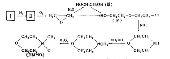
⑵“Lyacell纤维”工艺流程中的NMMO按以下合成路线制备(反应条件均省略):

其中,化合物Ⅰ可三聚为最简单的芳香烃,化合物Ⅱ可使溴水褪色。

①   化合物Ⅰ也可聚合为在一定条件下能导电的高分子化合物,该高分子化合物的化学式为:_________________________。

②   化合物Ⅱ与O2反应的原子利用率达100%,其化学方程式为:_________。

③   关于化合物Ⅲ、Ⅳ的说法正确的是:_________(填代号)

A.都可发生酯化反应      B.Ⅲ可被氧化,Ⅳ不可被氧化

C.都溶于水          D.Ⅲ可与钠反应,Ⅳ不可与钠反应

E.Ⅲ是乙醇的同系物      F.Ⅲ可由卤代烃的取代反应制备

④   写出合成NMMO最后一步反应的化学方程式:

 0  37470  37478  37484  37488  37494  37496  37500  37506  37508  37514  37520  37524  37526  37530  37536  37538  37544  37548  37550  37554  37556  37560  37562  37564  37565  37566  37568  37569  37570  37572  37574  37578  37580  37584  37586  37590  37596  37598  37604  37608  37610  37614  37620  37626  37628  37634  37638  37640  37646  37650  37656  37664  447348 

违法和不良信息举报电话:027-86699610 举报邮箱:58377363@163.com

精英家教网