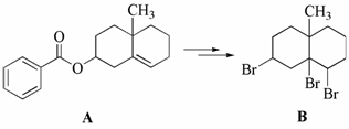
21.
(1)化合物A的分子式为 。
(2)由A转化为B可通过三步反应完成。第一步是将A通过
反应获得中间体X。第二步是X与Br2反应得到另一中间体Y,写出Y的结构简式:Y: 。
第三步是Y与 反应得到产物B。
20. 化工行业合成了一种硬度比金刚石还大的晶体氮化碳,其分子式可能是C3N4。该晶体类型为 ,其硬度大于金刚石的主要原因是
。
19. 路易斯酸碱电子论的概念是能接受电子对的为酸,能给予电子对的为碱。请判断下列离子或分子中哪些是酸,哪些是碱:H+、F-、OH-、Cu2+、C2O42-、BF3、H2O、SO3。
(1)路易斯酸; 。
(2)路易斯碱: 。
18. 常用的钮扣电池是银锌电池,它分别以锌和氧化银为电极。请写出电池放电时配平的正、负极反应式。
(1)负极: 。
(2)正极: 。
17. 1874年Griess报导了二氨基苯甲酸[C6H3(NH2)2CO2H]脱羧生成二氨基苯[C6H4(NH2)2]的反应。
(1)均称作二氨基苯甲酸的异构体共有 种。
(2)脱羧后能生成邻二氨基苯的二氨基苯甲酸有 种。
(3)脱羧后能生成间二氨基苯的二氨基苯甲酸有 种。
16. 有等摩尔浓度的五种溶液: ① CH3COONa、 ② CH3COONH4、 ③ CH3COOH、 ④ NH3·H2O、 ⑤ NH4Cl。
(1)按溶液pH由大到小排列的顺序(写序号)为:
(2)按溶液中离子总浓度的大小关系排列顺序(写序号)为: 。
15. 写出将稀硫酸加入到硫化钠与亚硫酸钠的混合液中,发生反应的离子方程式。
14. 用电子式表示金属镁与氯气加热形成氯化镁的过程。
13. 配平下列反应方程式: □P+□CuSO4+□H2O → □Cu3P+□H3PO4+□H2SO4
12. 下列化合物均为天然萜类化合物:
对这些萜类化合物叙述错误的是( )
A.三种化合物中只有a和c互为同分异构体
B.三种化合物中b的沸点最高
C.三种化合物均易被氧化
D.三种化合物均可催化氢化