题目内容


已知函数 (为实常数) .

 (1)当时,求函数上的最大值及相应的值;

(2)当时,讨论方程根的个数.

(3)若,且对任意的,都有

求实数a的取值范围.


(1).;(2)时,方程有2个相异的根.  或时,方程有1个根. 时,方程有0个根.(3).

(2)易知,故,方程根的个数等价于时,方程根的个数. 设=

时,,函数递减,当时,,函数递增.又,作出与直线的图像,由图像知:

时,即时,方程有2个相异的根;

时,方程有1个根;

时,方程有0个根;              -------10分

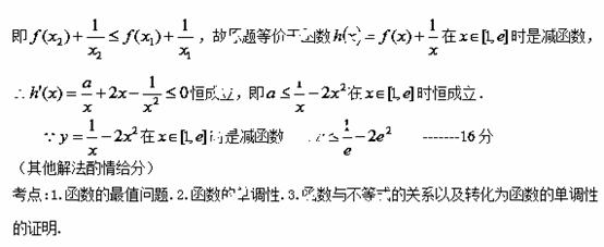
(3)当时,时是增函数,又函数是减函数,不妨设,则


练习册系列答案
相关题目

违法和不良信息举报电话:027-86699610 举报邮箱:58377363@163.com

精英家教网