25.(9分)已知硫化氢与甲烷一样可在空气中燃烧,当氧气足量时其燃烧产物之一为二氧化硫。下列转化关系中A是一种正盐,D的相对分子质量比C大16,E是酸。X无论是强酸(非氧化性酸)还是强碱时都有如下转化关系(其它产物及条件均已略去):

           A → B → C → D → E

   当x是强酸(非氧化性酸)时,A、B、C、D、E均含有同一种元素;当x是强碱时,A、B、C、D、E均含有另一种元素。

回答下列问题:

(1)A是     ,Y是      ,Z是       (填化学名称)。

(2)当X是强酸时,B的摩尔质量为34g/mol,E是      (填化学式),C→D的化学方程式是       

(3)当X是强碱时,E是       (填化学式),B→C的化学方程式是      

              

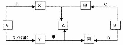
  26.(8分)A、B、C、D是中学化学中四种常见的非金属单质,在标准状况下,它们之中有三种呈气态,只有一种呈固态。B的相对分子质量很小。甲、乙、丙、X、Y五种物质都是化合物,这些化合物和A、B、C、D之间有如图所示关系:

   且知以上物质的所有组成元素均为短周期元素。根据以上事实,回答下列问题:

(1)化合物乙与氢氧化钠按物质的量之比1:3恰好完全反应,则乙的化学式是     

(2)图中的化学反应共有        个化合反应,      个氧化还原反应。

(3)Y与甲反应生成乙和丙的化学方程式为:                 

21.(8分)有两瓶失去标签的白色固体,一瓶是Na2SO4,一瓶是NH4Cl。请你设计四种实验方案加以鉴别,简要写出操作过程、实验现象和结论。

方案
操作过程(简要叙述)
现象和结论
(1)
 
 
(2)
 
 
(3)
 
 
(4)
 
 

  22.(20分)高一新教材中有一演示实验,用脱脂棉包住约0.2g过氧化钠粉末,置于石棉网上,往脱脂棉上滴水,观察到脱脂棉剧烈燃烧起来。

(1)由上述实验现象所得出的有关过氧化钠跟水反应的结论是:

第一,有氧气生成,第二,         。Na2O2

水反应的化学方程式是               

其中还原剂是        ,氧化剂是      

(2)某研究性学习小组拟用A图所示装置(气密性良好)进行实验,以证明上述结论。用以验证第一条结论的实验方法是:

                                     

用以验证第二条结论的实验方法是:

                                     

(3)实验(2)往试管中加水至固体完全溶解且不再有气泡生成后,取出试管,往试管中滴入酚酞试液,发现溶液先变红后褪色。为探究其原因,该小组同学从查阅有关资料中得知:Na2O2与水反应可生成H2O2,H2O2具有强氧化性和漂白性。请设计一个简单的实验,验证Na2O2跟足量水充分反应后的溶液中有H2O2存在。(只要求写出实验所用的试剂及观察到的现象)

试剂:                         

现象:                                  

  (4)该小组同学提出用定量的方法探究Na2O2跟水反应后的溶液中否含有H2O2,其实验方法为:称取2.6g Na2O2固体,使之与足量的水反应,测量产生O2的体积并与理论值比较,即可得出结论。

   ①测量气体体积时,必须待试管和量筒内的气体都冷却至室温时进行,应选用上图装置中的(忽略导管在量筒中所占的体积)     (填序号),理由是        

                

   ②若在标准状况下测量气体的体积,应选用的量筒的大小规格为      (选填“100mL”“200mL”“500mL”或“1000mL”)。

 0  35857  35865  35871  35875  35881  35883  35887  35893  35895  35901  35907  35911  35913  35917  35923  35925  35931  35935  35937  35941  35943  35947  35949  35951  35952  35953  35955  35956  35957  35959  35961  35965  35967  35971  35973  35977  35983  35985  35991  35995  35997  36001  36007  36013  36015  36021  36025  36027  36033  36037  36043  36051  447348 

违法和不良信息举报电话:027-86699610 举报邮箱:58377363@163.com

精英家教网