题目内容


在平面直角坐标系xOy中,动点P到定点(1,0)的距离与到定直线x=2的距离之比为,设动点P的轨迹为C.

(1)求出轨迹C的方程;

(2)设动直线lykx与曲线C交于AB两点,问在y轴上是否存在定点G,使∠AGB为直角?若存在,求出G的坐标,并求△AGB面积的最大值;若不存在,请说明理由.


解:(1)设P(xy),则依题意有

,化简得y2=1.

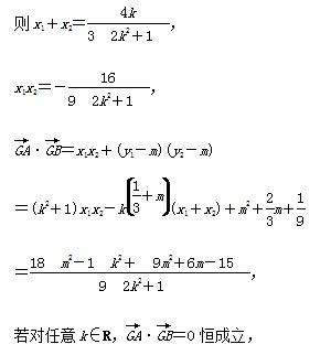
(2)由

(2k2+1)x2kx=0.

A(x1y1),B(x2y2),G(0,m),

则需解得m=1.

因此,存在点G(0,1),使得∠AGB为直角.

又点GAB的距离d

所以,SAGB|AB|d

t=2k2+1,t∈[1,+∞),

当且仅当t=1时,上式等号成立.

因此,△AGB 面积的最大值是.


练习册系列答案
相关题目

违法和不良信息举报电话:027-86699610 举报邮箱:58377363@163.com

精英家教网