题目内容

填空:

(1); (2)

(3); (4)

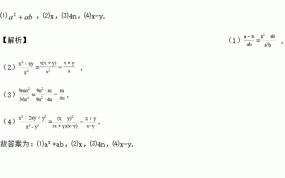
⑴,⑵x,⑶4n,⑷x-y. 【解析】(1)= , (2)= , (3)=, (4)=. 故答案为:⑴a²+ab,⑵x,⑶4n,⑷x-y.
练习册系列答案
相关题目

分解因式,应提取的公因式是___________

【解析】由x-y与y-x互为相反数,变形后提公因式3(x-y),可得=3(x-y)(a-3b). 故答案为:3(x-y).

如图,△ABC和△DAE中,∠BAC=∠DAE,AB=AE,AC=AD,连接BD,CE,求证:△ABD≌△AEC.

证明见解析. 【解析】试题分析:观察图形,由∠BAC=∠DAE易证∠BAD=∠CAE,然后根据SAS证明三角形全等.

如图,在△ABD中,AC⊥BD,点C是BD的中点,则下列结论错误的是( )

A. AB=AD B. AB=BD C. ∠B=∠D D. AC平分∠BAD

B 【解析】∵AC⊥BD,点C是BD的中点, ∴AB=AD(线段中垂线的性质) ∴∠B=∠D(等边对等角) ∴∠BAC=∠DAC(等腰三角形三线合一) ∴AC平分∠BAD, 故选:B .

不改变分式的值,使下列分式的分子和分母的最高次项的系数为正数.

(1); (2); (3).

(1)- . (2)- . (3) 【解析】根据分式的分子、分母及本身的符号,任意改变其中的两个,分式的值不变可得:(1) =- ; (2) = (3) =

若分式有意义,则x与y的关系是_____.

x≠y 【解析】当分母x-y≠0,即x≠y时,分式有意义.故答案是:x≠y.

在代数式,x+中,是分式的有( )

A. 1个 B. 2个 C. 3个 D. 4个

B 【解析】在代数式, ,, ,x+的分母中均不含有字母,因此它们是整式,而不是分式. 而,分母中含有字母,因此是分式. 故选B.

如图,AC是正五边形ABCDE的一条对角线,则∠ACB=

36°. 【解析】 试题分析:∵五边形ABCDE是正五边形,∴∠B=108°,AB=CB,∴∠ACB=(180°﹣108°)÷2=36°;故答案为:36°.

有如图所示的两种广告牌,其中图(1)是由两个等腰直角三角形构成的,图(2)是一个矩形,从图形上确定这两个广告牌面积的大小关系,并将这种大小关系用含字母a,b的不等式表示为__________.

a2+b2>ab (a≠b) 【解析】试题分析:由图上可看出:图1可看做是长为a,宽为b的长方形加上一个小直角三角形;图2可看做是长为a,宽为b的长方形,根据不等关系:图1的面积>图2的面积,即可列出不等式. 根据图形的面积公式,得图1的面积是a2+b2,图2的面积是ab 再根据图形的面积大小关系,得a2+b2>ab(a≠b).

违法和不良信息举报电话:027-86699610 举报邮箱:58377363@163.com

精英家教网