题目内容
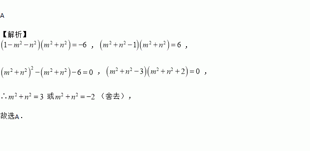
已知
,则m2+n2的值是( )
A. 3 B. 3或-2 C. 2或-3 D. 2
A 【解析】, , , , ∴或(舍去), 故选A.
练习册系列答案
相关题目
在平面直角坐标系xOy中,抛物线y=ax2+4ax+4a-4(a≠0)的顶点为A.
(1)求顶点A的坐标;
(2)过点(0,5)且平行于x轴的直线l,与抛物线y=ax2+4ax+4a-4(a≠0)交于B、C两点.
①当a=1时,求线段BC的长;
②当线段BC的长不小于8时,直接写出a的取值范围.
![]()
抛物线y=ax2+bx+c上部分点的横坐标x,纵坐标y,的对应值如下表:
x | … | -2 | -1 | 0 | 1 | 2 | … |
y | … | 0 | -4 | -4 | 0 | 8 | … |
(1)根据上表填空:
①抛物线与x轴的交点坐标是_________和_________;
②抛物线经过点(-3,_________);
(2)试确定抛物线y=ax2+bx+c的解析式.
(1)①(-2,0),(1,0);②8;(2)所求抛物线解析式为y=2x2+2x-4. 【解析】试题分析: (1)①根据表格中函数值y=0即可得到与x轴的交点坐标; ②观察表格可知抛物线的对称轴为x=,由此可知(2,8)与(-3,8)关于对称轴对称,从而可得; (2)依题意设抛物线解析式为y=a(x+2)(x-1),代入点(0,-4)即可求得. 试题解析:(1)①观察表格可...