如图,在□ABCD中,AC,BD相交于点O,AB=10cm,AD=8cm,AC⊥BC,则OB= _________cm.

【解析】试题解析:∵四边形ABCD是平行四边形, 故答案为: .

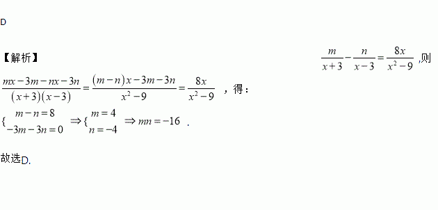
解分式方程:

(1)

(2)

(1) (2)x=-4 【解析】【试题分析】(1)方程两边同时乘以 ,则 ;移项及合并得: 系数化为1: .经检验: 是原方程的根. (2)方程两边同时乘以 ,去分母得: 去括号得: 移项得: 解得: 经检验,x=-4是原方程的根. 【试题解析】 方程两边同时乘以 ,则 ; 移项及合并得: 系数化为1: . 经检验: 是原方程的根. 方程两边同时乘以...

先化简,再求值.

(1) ,其中x=-

(2),其中x=-2.

(3),其中x=-

(4)若1<x<2,化简

⑴-1,⑵ ,⑶,⑷1. 【解析】试题分析:(1)原式约分得到最简结果,将x的值代入计算即可求出值; (2)原式利用除以一个数等于乘以这个数的倒数将除法运算化为乘法运算,约分得到最简结果,将x的值代入计算即可求出值; (3)原式利用除以一个数等于乘以这个数的倒数将除法运算化为乘法运算,约分得到最简结果,将x的值代入计算即可求出值. (4)根据绝对值的化简原则进行化简,进行运算即可....

计算=_________.

【解析】试题解析:原式= 故答案为:

当y=x+时, 的值是_________.

-3 【解析】 = = ∵y=x+, ∴x-y=, ∴原式==-3.

解分式方程:

. 【解析】试题分析:首先进行去分母,将分式方程转化为整式方程,然后求出方程的解,最后需要对方程的解进行检验,看是否能使原分式的分母为零. 试题解析:去分母得:2+x(x+2)=x2-4, 解得:x=-3, 检验:当x=-3时,(x+2)(x-2)≠0, 故x=-3是原方程的根.

违法和不良信息举报电话:027-86699610 举报邮箱:58377363@163.com

精英家教网