在多边形的内角中,锐角的个数不能多于( )

A. 2个 B. 3个 C. 4个 D. 5个

B 【解析】多边形的外角和是360°,因此外角中最多有三个钝角,外角与相邻的内角互为邻补角, 所以在多边形的内角中,锐角的个数不能多于3个, 故选B.

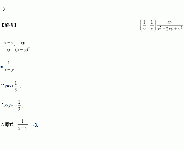
化简的结果是( )

A. B. C. D.

D 【解析】试题解析:原式 故选D.

已知.

(1)化简A;

(2)当满足不等式组,且为整数时,求A的值.

(1);(2)1 【解析】试题分析:首先将分式的分子和分母进行因式分解,然后进行约分,最后根据同分母的分式减法法则得出化简的答案;根据题意求出不等式组的整数解,然后根据分式的性质求出x的值,将x的值代入化简后的式子进行计算. 试题解析:(1)原式==== (2)不等式组的解集为1≤x<3 ∵x为整数 ∴x=1或2 ∵A=∴x-1≠0 即x≠1 ∴x=2 当x=2时,原...

填空: =1÷(____), =﹣(____) ÷(x+y).

x-y, -x+y 【解析】=1÷=1÷(x-y), ==﹣(-x+y) ÷(x+y).

使分式的值为正的条件是(  )

A. B. C. x<0 D. x>0

B 【解析】由题意得 1-3x<0, 解之得 . 故选B.

如图所示,在?ABCD中,对角线AC,BD相交于点O,E,F是对角线AC上的两点,当E,F满足下列哪个条件时,四边形DEBF不一定是平行四边形( )

A.OE=OF B.DE=BF C.∠ADE=∠CBF D.∠ABE=∠CDF

B. 【解析】 试题分析:A、∵四边形ABCD是平行四边形,∴OD=OB,又∵OE=OF,∴四边形DEBF是平行四边形.能判定是平行四边形.B、DE=BF,OD=OB,缺少夹角相等.不能利用全等判断出OE=OF,∴DE=BF,∴四边形DEBF不一定是平行四边形.C、D均能证明四边形DEBF是平行四边形. 故选:B.

违法和不良信息举报电话:027-86699610 举报邮箱:58377363@163.com

精英家教网