如图,在一笔直的海岸线l上有A、B两个观测站,AB=2km、从A测得船C在北偏东45°的方向,从B测得船C在北偏东22.5°的方向,则船C离海岸线l的距离(即CD的长)为(  )

A. 4km B. (2+)km C. 2km D. (4-)km

B 【解析】试题分析:根据题意中方位角的特点,过点B作BE⊥AC,交AC于点E,由∠CAB=45°,AB=2km,可知BE=km,根据题意还可知∠BCA=∠BCD=22.5°,因此CB是∠ACD的角平分线,根据角平分线的性质可得:BD=BE=km,因此CD=AD=AB+BD=(2+)km,故选B.

在多边形的内角中,锐角的个数不能多于( )

A. 2个 B. 3个 C. 4个 D. 5个

B 【解析】多边形的外角和是360°,因此外角中最多有三个钝角,外角与相邻的内角互为邻补角, 所以在多边形的内角中,锐角的个数不能多于3个, 故选B.

若关于的方程的解为正数,则的取值范围是_____.

且 【解析】解方程得: ,因为它的解是正数,则 ,得且. 故答案: 且.

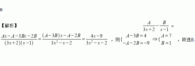
+=(a≠b≠0),用含a、b的代数式表示m,则m=___________.

【解析】根据+=得, ,得: . 故答案: .

下列关于x的方程是分式方程的是( )

A. ; B. ; C. ; D.

D 【解析】根据分式方程的定义——分母中含有未知数的方程.故选D.

化简的结果是( )

A. B. C. D.

D 【解析】试题解析:原式 故选D.

如图所示,在?ABCD中,对角线AC,BD相交于点O,E,F是对角线AC上的两点,当E,F满足下列哪个条件时,四边形DEBF不一定是平行四边形( )

A.OE=OF B.DE=BF C.∠ADE=∠CBF D.∠ABE=∠CDF

B. 【解析】 试题分析:A、∵四边形ABCD是平行四边形,∴OD=OB,又∵OE=OF,∴四边形DEBF是平行四边形.能判定是平行四边形.B、DE=BF,OD=OB,缺少夹角相等.不能利用全等判断出OE=OF,∴DE=BF,∴四边形DEBF不一定是平行四边形.C、D均能证明四边形DEBF是平行四边形. 故选:B.

违法和不良信息举报电话:027-86699610 举报邮箱:58377363@163.com

精英家教网