在四边形ABCD中,如果∠A:∠B:∠C:∠D=1:2:3:4,则∠D=______

144° 【解析】设∠A=x°,则∠B=2x°,∠C=3x°,∠D=4x°, ∵∠A+∠B+∠C+∠D=360°, ∴x+2x+3x+4x=360, 解得x=36°, ∴2x=72°,3x=108°,4x=144°, 所以∠A=36°,∠B=72°,∠C=108°,∠D=144°, 故答案为:144°.

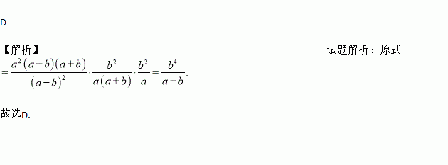
先化简,再求值.

(1) ,其中x=-

(2),其中x=-2.

(3),其中x=-

(4)若1<x<2,化简

⑴-1,⑵ ,⑶,⑷1. 【解析】试题分析:(1)原式约分得到最简结果,将x的值代入计算即可求出值; (2)原式利用除以一个数等于乘以这个数的倒数将除法运算化为乘法运算,约分得到最简结果,将x的值代入计算即可求出值; (3)原式利用除以一个数等于乘以这个数的倒数将除法运算化为乘法运算,约分得到最简结果,将x的值代入计算即可求出值. (4)根据绝对值的化简原则进行化简,进行运算即可....

计算=_________.

【解析】试题解析:原式= 故答案为:

计算﹣的结果为(  )

A. ﹣ B. ﹣ C. ﹣ D. ﹣n

A 【解析】【解析】 原式= .故选A.

当y=x+时, 的值是_________.

-3 【解析】 = = ∵y=x+, ∴x-y=, ∴原式==-3.

如图,在△ABC中,∠BAC=90º,延长BA到点D,使AD=AB,E,F分别是边BC,AC的中点,试猜想DF与EC的数量关系,并证明你的猜想.

见解析 【解析】试题分析:由直角三角形的性质和三角形中位线定理得出AE=BC=EC,EF∥AB,EF= AB,得出AD∥EF,AD=EF,证出四边形AEFD是平行四边形,得出AE=DF,即可得出结论. 【解析】 DF=EC;理由如下: 连接AE,如图所示: ∵∠BAC=90°,E,F分别是边BC,AC的中点, ∴AE=BC=EC,E...

如果关于x的方程无解,则m等于( )

A. 3 B. 4 C. -3 D. 5

A 【解析】去分母,得2-x=-m,所以x=2+m. 若分式方程无解,则x=2+m是分式方程的增根,即2+m=5, 所以m=3. 故答案为:3.

违法和不良信息举报电话:027-86699610 举报邮箱:58377363@163.com

精英家教网