如图,四边形ABCD的对角线相交于点O,AO=CO,请添加一个条件_________

(只添一个即可),使四边形ABCD是平行四边形

BO=DO 【解析】【解析】 ∵AO=CO,BO=DO,∴四边形ABCD是平行四边形.故答案为:BO=DO.

________.

【解析】试题解析: 故答案为:

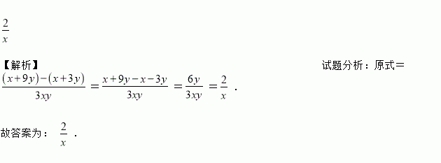
计算: ,其中x=1,y=2.

【解析】试题分析:先通分,再相加,化简后代入x、y的值计算即可. 试题解析: 原式= =, 当x=1、y=2时, 原式= =.

的最简公分母是__________

【解析】试题分析:m2-1=(m+1)(m-1), 所以最简公分母是m2-1. 故答案为:m2-1.

计算等于( )

A. B. C. D.

D 【解析】试题分析:原式= = =. 故选D.

按要求解答下列各题:

(1)解不等式:3x-5<2(2+3x);

(2)解不等式:2x-3≤ (x+2);

(3)解不等式: <x-1,并将解集在数轴上表示出来.

(1)x>-3 (2)x≤ (3)x>2,画数轴略 【解析】【试题分析】(1)去括号得: 移项得: 合并同类项得: 系数化为1得:x>-3 ; (2) 去括号得: 移项得: 合并同类项得: 系数化为1得: x≤ ; (3)去分母得: 移项得: ,合并得: 系数化为1得:x>2,数轴见解析. 【试题解析】 去括号得: 移项得: 合并同类项得: 系数化为...

一次函数y=﹣3x+12中x_________ 时,y<0.

>4 【解析】根据题意得:﹣3x+12<0, 解得:x>4. 故答案为:>4;

违法和不良信息举报电话:027-86699610 举报邮箱:58377363@163.com

精英家教网