如图,∠AOB内一点P,分别画出P关于OA、OB的对称点P1、P2连P1P2交OA于M,交OB于N,若P1P2=5cm,则△PMN的周长为_______.

5cm 【解析】∵P、P1,P、P2关于OA、OB对称, ∴PM=P1M,PN=P2N, ∴△PMN的周长=P1P2, ∴△PMN的周长是5 cm.

已知四边形,有以下四个条件:①;②;③;④.从这四个条件中任选两个,能使四边形成为平行四边形的选法种数共有( )

A. 6种 B. 5种 C. 4种 D. 3种

C 【解析】平行四边形的判定,平行四边形的判定方法共有五种,在四边形中如果有: 1、四边形的两组对边分别平行; 2、一组对边平行且相等; 3、两组对边分别相等; 4、对角线互相平分; 5、两组对角分别相等.则四边形是平行四边形 根据平行四边形的判定,符合条件的有4种,分别是:①②、③④、②③、①④. 故选C

下列事件中,是必然事件的是(  )

A. 两条线段可以组成一个三角形

B. 400人中有两个人的生日在同一天

C. 早上的太阳从西方升起

D. 打开电视机,它正在播放动画片

B 【解析】试题解析:A. 两条线段可以组成一个三角形是不可能事件,故错误; B.400人中有两个人的生日在同一天是必然事件,故正确; C. 早上的太阳从西方升起是不可能事件,故错误; D. 打开电视机,它正在播放动画片是随机事件,故错误; 故选B.

计算:

【解析】试题分析:根据分式乘除法法则计算即可. 试题解析:原式==.

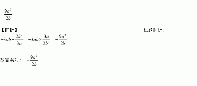
计算: =________

【解析】试题解析: 故答案为:

下列分式,对于任意的x值总有意义的是( )

A. B. C. D.

B 【解析】试题解析:因为分式有意义的条件是分母不能为0,B选项的分母为, 故选B.

计算:=_______

【解析】试题分析:原式====. 故答案为: .

如图,△ABC和△AED中,∠BAC=∠DAE,AB=AE,AC=AD,连接BD、CE,求证:BD=EC。

证明见解析 【解析】试题分析: 由∠BAC=∠DAE易得∠BAD=∠EAC,结合AB=AE,AC=AD,即可由“SAS”证得:△BAD≌△EAC,从而可得:BD=EC. 试题解析: ∵∠DAE=∠BAC, ∴∠DAE-∠BAE=∠EAC-∠BAE, ∴∠BAD=∠EAC, 在△BAD和△EAC中, ∴△BAD≌△EAC(SAS), ∴BD=EC...

违法和不良信息举报电话:027-86699610 举报邮箱:58377363@163.com

精英家教网