若关于x的多项式3x2+mx+n分解因式的结果为(3x+2)(x-1),求m、n的值.

m=-1,n=-2. 【解析】试题分析:把(3x+2)(x-1)利用多项式乘以多项式的法则展开,与多项式3x2+mx+n比较,即可得m、n的值. 试题解析: 由题意可得:(3x+2)(x-1)=3x2+2x-3x-2=3x2-x-2=3x2+mx+n, 所以m=-1,n=-2.

如图,抛物线与x轴交于A,B两点,它们的对称轴与x轴交于点N,过顶点M作ME⊥y轴于点E,连结BE交MN于点F.已知点A的坐标为(﹣1,0).

(1)求该抛物线的解析式及顶点M的坐标;

(2)求△EMF与△BNF的面积之比.

(1),(1,4);(2). 【解析】试题分析:(1)直接将(﹣1,0)代入求出即可,再利用配方法求出顶点坐标. (2)利用EM∥BN,则△EMF∽△BNF,进而求出△EMF与△BNE的面积之比. 试题解析:【解析】 (1)∵点A在抛物线上, ∴,解得:c=3, ∴抛物线的解析式为. ∵, ∴抛物线的顶点M(1,4); (2)∵A(﹣1,0),抛物...

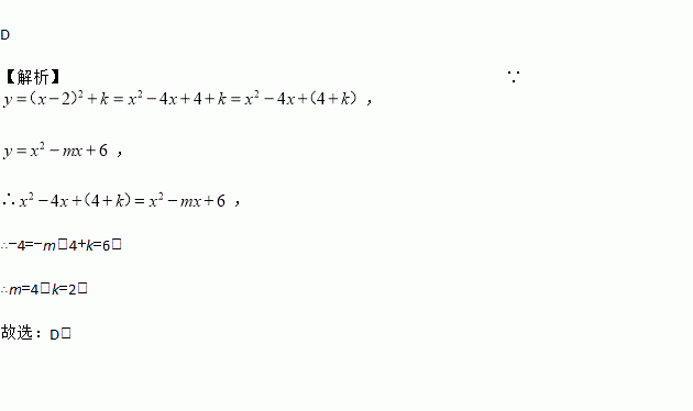
将二次函数化成形式,则h+k结果为( )

A. -5

B. 5

C. -3

D. 3

C 【解析】. 则h=1,k=-4, ∴h+k=-3. 故选:C.

一项工作,若甲单独完成需x小时,则甲每小时完成工作的________.若甲、乙合作 需8小时完成,则乙每小时完成工作的_______.

【解析】一项工作,若甲单独完成需x小时,则甲每小时完成工作的, 若甲、乙合作需8小时完成,则乙每小时完成工作的, 故答案为: , .

如图所示,矩形A′BC′O′是矩形OABC(边OA在x轴正半轴上,边OC在y轴正半轴上)绕点B逆时针旋转得到的.点O′在x轴的正半轴上,点B的坐标为(1,3).

(1)如果二次函数y=ax2+bx+c(a≠0)的图象经过O,O′两点,且图象顶点M的纵坐标为-l,求这个二次函数的解析式;

(2)在(1)中求出的二次函数图象对称轴的右侧,是否存在点P,使得△POM为直角三角形?若存在,求出点P的坐标和△POM的面积;若不存在,请说明理由;

(3)求边C′O′所在直线的解析式.

(1) y=x2-2x(2)1(3)y= 【解析】分析:(1)连接BO,B则B0=B,求出M点坐标,列出方程组求出未知数的值,进而求出二次函数的解析式;(2)设存在满足题设条件的点P(x,y),连接OM,PM,OP,过P作PN⊥x轴,求出P点坐标和△POM的面积.(3)已知 (2,0),点D的横坐标为1,由相似关系求其纵坐标,用待定系数法求解析式. 本题解析:(1)如图2-83所示,连...

如图,□ABCD中,E是BC边的中点,连接AE,F为CD边上一点,且满足∠DFA=2∠BAE.

(1)若∠D=105°,∠DAF=35°.求∠FAE的度数;

(2)求证:AF=CD+CF.

(1)20°;(2)见解析 【解析】试题分析:(1)根据平行四边形的性质、平行线的性质证得;然后结合已知条件求得从而求得的度数; (2)在AF上截取连接利用全等三角形的判定定理SAS证得 ≌,由全等三角形的对应角相等、对应边相等;然后由中点E的性质平行线的性质以及等腰三角形的判定与性质求得 最后根据线段间的和差关系证得结论. 试题解析: (三角形内角和定理). ∵四边...

违法和不良信息举报电话:027-86699610 举报邮箱:58377363@163.com

精英家教网