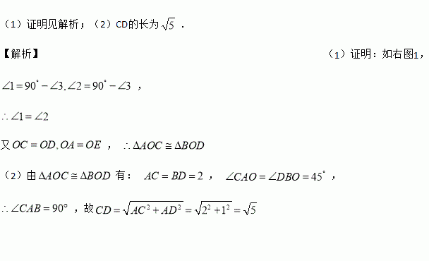
题目内容

如图所示、△AOB和△COD均为等腰直角三角形,∠AOB=∠COD=90°,D在AB上.

(1)求证:△AOC≌△BOD;

(2)若AD=1,BD=2,求CD的长.

(1)证明见解析;(2)CD的长为. 【解析】(1)证明:如右图1, , 又, (2)由有: , , ,故
练习册系列答案
相关题目

不等式的解集在数轴上表示如图所示,则该不等式可能是___________________.

不唯一,如x-1≤0 【解析】由图形可知,不等式的解集为x≤1.只要所写的不等式的解集为x≤1,即可,答案不唯一.

已知,求A、B的值.

A=1,B=1. 【解析】试题分析:已知等式右边两项通分并利用同分母分式的加法法则计算,利用分式相等的条件即可求出A与B. 试题解析: 【解析】 ===, ∴, 解得: .

某地区林业局要考察一种树苗移植的成活率,对该地区这种树苗移植成活的情况进行调查统计,并绘制了如图所示的统计图,根据统计图提供的信息解决下列问题:

(1)这种树苗成活的频率稳定在___________,成活的概率估计值为___________.

(2)该地区已经移植这种树苗5万棵.

①估计这种树苗成活___________万棵.

②如果该地区计划成活18万棵这种树苗,那么还需移植这种树苗约多少万棵?

(1)0.9附近,0.9;(2)①4.5,15万棵. 【解析】(1)由图可知,成活概率在0.9上下波动,故可估计这种树苗成活的频率稳定在0.9,成活的概率估计值为0.9; (2)①5×成活率即为所求的成活的树苗棵树; ②方法1:利用成活率求得需要树苗棵树,减去已移植树苗数即为所求的树苗的棵树; 方法2:设还需移植这种树苗万棵,根据成活率及成活总数列出方程即可。

动物学家通过大量的调查估计,某种动物活到20岁的概率为0.8,活到25岁的概率为0.6,则现年20岁的这种动物活到25岁的概率是(  )

A. 0.8 B. 0.75 C. 0.6 D. 0.48

B 【解析】设共有这种动物x只,则活到20岁的只数为0.8x,活到25岁的只数为0.6x,故现年20岁到这种动物活到25岁的概率为=0.75,故选B.

下列命题中,其逆命题成立的是__.(只填写序号)

①同旁内角互补,两直线平行;

②如果两个角是直角,那么它们相等;

③如果两个实数相等,那么它们的平方相等;

④如果三角形的三边长a,b,c满足a2+b2=c2,那么这个三角形是直角三角形.

①④ 【解析】把一个命题的条件和结论互换就得到它的逆命题,再分析逆命题是否为真命题,需要分别分析各题设是否能推出结论,从而利用排除法得出答案。 ①两直线平行,同旁内角互补,正确; ②如果两个角相等,那么它们是直角,错误; ③如果两个实数的平方相等,那么这两个实数相等,错误; ④如果三角形的三边长a,b,c满足a2+b2=c2,那么这个三角形是直角三角形,正确. ...

已知:如图,在?ABCD中,∠ADC,∠DAB的平分线DF,AE分别与线段BC相交于点F,E,DF与AE相交于点G.

(1)求证:AE⊥DF;

(2)若AD=10,AB=6,AE=4,求DF的长.

(1)证明见解析;(2). 【解析】试题分析:(1)根据平行四边形的性质和平行线的性质推出∠ADC+∠DAB=180°,根据角平分线得到∠ADF+∠DAE=(∠ADC+∠DAB)=90°,即可求出结论; (2)过点D作DH∥AE,交BC的延长线于点H,得到平行四边形AEHD,求出DH=AE=4,EH=AD=10,根据平行四边形的性质和平行线的性质推出DC=FC,AB=EB,求出BF、F...

为了了解参加某运动会的2000名运动员的年龄情况,从中抽查了100名运动员的年龄,“某运动员被抽到”这一事件是______事件.

随机. 【解析】由题意知是从2000名运动员的年龄中抽取100名运动员的年龄,每一名运动员被投到的频率为,即为,所以某运动员被抽到这一事件是随机事件.

如图,等腰△ABC中,AB=AC,∠DBC=15°,AB的垂直平分线MN交AC于点D,则∠A的度数是________.

50° 【解析】根据线段垂直平分线上的点到两端点的距离相等可得AD=BD,根据等边对等角可得∠A=∠ABD,然后表示出∠ABC,再根据等腰三角形两底角相等可得∠C=∠ABC,然后根据三角形的内角和定理列出方程求解即可. 【解析】 ∵MN是AB的垂直平分线, ∴AD=BD, ∴∠A=∠ABD, ∵∠DBC=15°, ∴∠ABC=∠A+15°, ∵AB=AC...

违法和不良信息举报电话:027-86699610 举报邮箱:58377363@163.com

精英家教网