题目内容
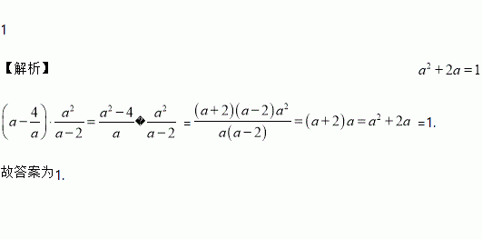
如果,求代数式的值.
原价100元的某商品,连续两次降价后售价为81元,若每次降低的百分率相同,则降低的百分率为 .
如图,在平面直角坐标系中,已知直线和与轴分别相交于点和点,设两直线相交于点,点为的中点,点是线段上一个动点(不与点和重合),连结,并过点作交于点.
()判断的形状,并说明理由.
()当点在线段上运动时,四边形的面积是否为定值?若是,请求出这个定值;若不是,请说明理由.
()当点的横坐标为时,在轴上找到一点使得的周长最小,请直接写出点的坐标.
如图,点的坐标是,若点在轴上,且是等腰三角形,则点的坐标不可能是( ).
A. B. C. D.
已知:如图,在四边形ABCD中,BC>BA, ,BD平分∠ABC,求证:AD=CD.
根据下列已知条件,能确定△ABC的大小和形状的是_________
①AB=3,BC=4,AC=5 ②AB=4,BC=3,∠A=30º
③∠A=60º,∠B=45º,AB=4 ④∠C=90º,AB=6,AC=5
如图,已知△ABC的六个元素,则下列甲、乙、丙三个三角形中和△ABC全等的图形是( )
A. 甲 B. 乙与丙 C. 丙 D. 乙
计算:?23?×[2?(?3)2]
-3的倒数是( )
A. -3 B. - C. D. 3