题目内容
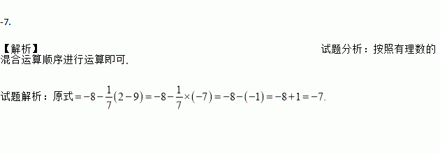
计算:?23?×[2?(?3)2]
如图,⊙O的半径为3,四边形ABCD内接于⊙O,连接OB、OD,若∠BOD=∠BCD,则的长为( )
A. π B. C. 2π D. 3π
如果,求代数式的值.
把因式分解时,应提的公因式是( ).
A. B. C. D.
苏宁电器元旦促销,将某品牌彩电按进价提高40%,然后在广告上写“元旦大酬宾,八折优惠”,结果每台彩电仍获利270元,那么每台彩电进价是多少元?
一列数:0,1,2,3,6,7,14,15,30,____,_____,____这串数是由小明按照一定规则写下来的,他第一次写下“0,1”,第二次按着写“2,3”,第三次接着写“6,7”第四次接着写“14,15”,就这样一直接着往下写,那么这串数的最后三个数应该是下面的( )
A. 31,32,64 B. 31,62,63 C. 31,32,33 D. 31,45,46
如果∠A的补角与∠A的余角互补,那么2∠A是( )
A. 锐角 B. 直角 C. 钝角 D. 以上三种都可能
比较大小:______.
如图,AB∥CD,AE平分∠BAD,CD与AE相交于F,∠CFE=∠E.试说明:AD∥BC.