2、非金属的单质、氢化物、氧化物往往在常温下呈气态,因此对于它们的实验室制法、性质、主要用途作一归纳是十分重要的。

    (1)常见气体的制备、性质、用途:

气体
制备反应原理
颜色、气味
溶解性
特性
用途
H2
Zn+H2SO4==ZnSO4+H2­
无色、无臭
难溶
可燃性、还原性
燃料、还原剂
O2
2KClO32KCl+3O2­
无色、无臭
难溶
氧化性、供呼吸
氧化剂、呼吸
N2
NH4Cl+NaNO2NaCl+N2­+2H2O
无色、无臭
难溶
稳定、不活泼
保护气、制化肥
Cl2
MnO2+4HCl==MnCl2+Cl2­+2H2O
黄绿色、刺激性
可溶(反应)
氧化性、有毒
化工原料、漂白粉
HCl
2NaCl+H2SO4Na2SO4+2HCl­
无色、刺激性
极易溶
酸性
化工试剂
H2S
FeS+2HCl==H2S­+FeCl2­
无色、臭鸡蛋气味
可溶
还原性、剧毒
还原剂、鉴别
NH3
2NH4Cl+Ca(OH)2CaCl2+2NH3­+
      2H2O
无色、刺激性
极易溶
(反应)
易液化、弱碱性
致冷剂、化肥
CH4
CH3COONa+NaOHNa2CO3+
          CH4­
无色、无臭
难溶
可燃
气体燃料
C2H4
CH3CH2OHC2H4­+H2O
无色、略有甜香气味
难溶
加成、聚合
石油化工原料
C2H2
CaC2+2H2O®C2H2­+Ca(OH2)
无色、无臭
微溶
可燃、加成
焊接、有机化工
CO
HCOOH H2O+CO­
无色、无臭
难溶
剧毒、可燃、还原
还原剂(冶炼)
CO2
CaCO3+2HCl==CaCl2+CO2­+H2O
无色、无臭
可溶(反应)
弱酸性、不支持燃烧
灭火、化工原料
SO2
Na2SO3+H2SO4==Na2SO4+SO2­+H2O
无色、刺激性
易溶(反应)
漂白性、有毒
漂白纺织物
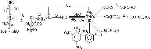
NO
3Cu+8HNO3(稀)==3Cu(NO3)2+2NO­+
4H2O
无色、无臭
难溶
剧毒、易被氧化
制NHO3中间产物
NO2
Cu+4HNO3( 浓)==Cu(NO3)2+2NO2­
    +2H2O
红棕色、刺激性
易溶(反应)
有毒、氧化性
制HNO3

    (2)常见气体的实验室制取、尾气吸收装置:

     收集
 
 
 
  尾气吸收
  气体  气体
  分子式  装置
 
制取气体
  的装置






O2
 
CH4
O2
 
NH3
CH4
 
 
NH3

H2
 
 
C2H2
H2S
CO2
NO2
 
H2
H2S
 
NO2
 

 
 
 
NO
C2H4
Cl2
HCl
SO2
 
Cl2
 
SO2
 
HCl

     注:

    ①因为C2H2、C2H4的气体密度很接近空气,所以不宜用向下排气法收集。

    ②因为NO极易与空气中氧气反应生成NO2所以只能用排水法收集。

    思考:对于NH3和HCl这2种污染性气体的尾气吸收装置为什么要选用倒置的漏斗?

 0  35233  35241  35247  35251  35257  35259  35263  35269  35271  35277  35283  35287  35289  35293  35299  35301  35307  35311  35313  35317  35319  35323  35325  35327  35328  35329  35331  35332  35333  35335  35337  35341  35343  35347  35349  35353  35359  35361  35367  35371  35373  35377  35383  35389  35391  35397  35401  35403  35409  35413  35419  35427  447348 

违法和不良信息举报电话:027-86699610 举报邮箱:58377363@163.com

精英家教网