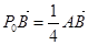
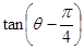
0  74004  74012  74018  74022  74028  74030  74034  74040  74042  74048  74054  74058  74060  74064  74070  74072  74078  74082  74084  74088  74090  74094  74096  74098  74099  74100  74102  74103  74104  74106  74108  74112  74114  74118  74120  74124  74130  74132  74138  74142  74144  74148  74154  74160  74162  74168  74172  74174  74180  74184  74190  74198  266669 

违法和不良信息举报电话:027-86699610 举报邮箱:58377363@163.com

精英家教网