题目内容

等比数列的前项和为,若成等差数列,则其公比为 (   )

A.              B.            C.     D.

 

【答案】

A

【解析】

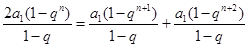
试题分析:设等比数列的首项为,公比为成等差数列,,当时,,即不成立,当时,,即,解得(舍去),选A.

考点:等差数列、等比数列的性质,等比数列的求和公式.

 

练习册系列答案
相关题目

违法和不良信息举报电话:027-86699610 举报邮箱:58377363@163.com

精英家教网