13.函数 f( x)=10x 3-80的零点为( )
| A. | (2,0) | B. | (0,2) | C. | 2 | D. | 0 |
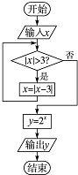
12.阅读如图的程序框图,运行相应的程序,若输入x的值为2,则输出y的值为( )

| A. | 0.5 | B. | 1 | C. | 2 | D. | 4 |
11.已知某三棱锥的三视图(单位:cm)如图所示,则该三棱锥的体积是( )

| A. | 1 m3 | B. | 2 cm3 | C. | 3 cm3 | D. | 6 cm3 |
10.有5本不同的语文书,4本不同的数学书,从中任意取出2本,那么下列各组中的两个事件是“互斥而不对立”是( )
| A. | “至少有一本是数学书”与“都是数学书” | |
| B. | “至少有一本是数学书”与“都是语文书” | |
| C. | “至少有一本是数学书”与“至少有1本是语文书” | |
| D. | “恰有1本是数学书”与“恰有2本是语文书” |
8.如图所示,在“推理与证明”的知识结构图中,如果要加入“综合法”,则应该放在( )

| A. | “合情推理”的下位 | B. | “直接证明”的下位 | ||
| C. | “演绎推理”的下位 | D. | “间接证明”的下位 |
7.在区域$\left\{\begin{array}{l}{0≤x≤1}\\{0≤y≤1}\end{array}\right.$内任意取一点P(x,y),则点P到原点距离小于1的概率是( )
| A. | 0 | B. | $\frac{π}{4}$-$\frac{1}{2}$ | C. | $\frac{π}{4}$ | D. | 1-$\frac{π}{4}$ |
6.下列说法中,正确的是( )
0 250219 250227 250233 250237 250243 250245 250249 250255 250257 250263 250269 250273 250275 250279 250285 250287 250293 250297 250299 250303 250305 250309 250311 250313 250314 250315 250317 250318 250319 250321 250323 250327 250329 250333 250335 250339 250345 250347 250353 250357 250359 250363 250369 250375 250377 250383 250387 250389 250395 250399 250405 250413 266669
| A. | 命题“若am2<bm2,则a<b”的逆命题是真命题 | |
| B. | 命题“存在x∈R,x2-x>0”的否定是:“任意x∈R,x2-x≤0” | |
| C. | 命题“p或q”为真命题,则命题“p”和命题“q”均为真命题 | |
| D. | 已知x∈R,则“x>1”是“x>2”的充分不必要条件 |