题目内容
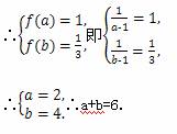
函数f(x)=在区间[a,b]上的最大值是1,最小值是,则a+b= .
6解析:易知f(x)在[a,b]上为减函数,
分别写出下列命题的逆命题、否命题、逆否命题,并判断它们的真假.
①面积相等的两个三角形是全等三角形.
②若,则方程有实根.
③若,则实数、全为零.
已知集合A=只有一个元素,则a=
已知函数y=f(x2-1)的定义域为[0,3],则函数y=f(x)的定义域为 ;若函数y=g(x)的定义域为[0,3],则函数y=g(x2-1)的定义域为 .
函数f(x)=lo(x2-4)的单调递增区间为( )
(A)(0,+∞) (B)(-∞,0)
(C)(2,+∞) (D)(-∞,-2)
如果函数f(x)对任意的实数x,都有f(1+x)=f(-x),且当x≥时,f(x)=log2(3x-1),那么函数f(x)在[-2,0]上的最大值与最小值之和为 .
函数y=f(x)(x∈R)的图象如图所示,下列说法正确的是( )
①函数y=f(x)满足f(-x)=-f(x);
②函数y=f(x)满足f(x+2)=f(-x);
③函数y=f(x)满足f(-x)=f(x);
④函数y=f(x)满足f(x+2)=f(x).
(A)①③ (B)②④ (C)①② (D)③④
已知函数f(x)=则f[f()]等于( )
(A)9 (B) (C)-9 (D)-
已知函数f(x)=x2+1的定义域为[a,b](a<b),值域为[1,5],则在平面直角坐标系内,点(a,b)的运动轨迹与两坐标轴围成的图形的面积是( )
(A)8 (B)6 (C)4 (D)2