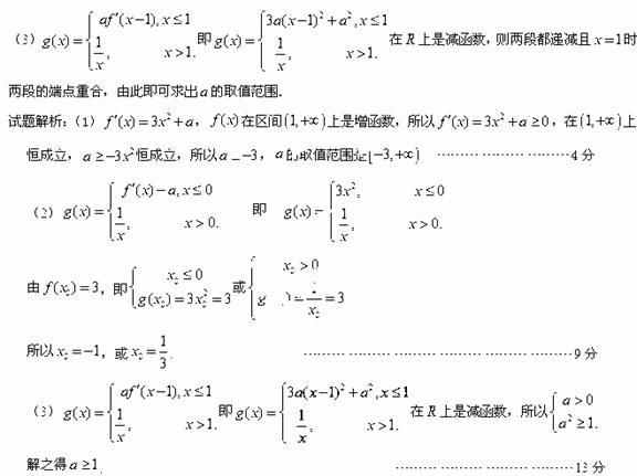
题目内容
已知函数f (x)=x3+ax-2, (a
R).
(l)若f (x)在区间(1, +
)上是增函数,求实数a的取值范围;
(2)若
,且f(x0)=3,求x0的值;
(3)若
,且在R上是减函数,求实数a的取值范围。
练习册系列答案
相关题目
题目内容
已知函数f (x)=x3+ax-2, (a
R).
(l)若f (x)在区间(1, +
)上是增函数,求实数a的取值范围;
(2)若
,且f(x0)=3,求x0的值;
(3)若
,且在R上是减函数,求实数a的取值范围。