题目内容
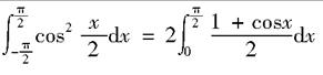
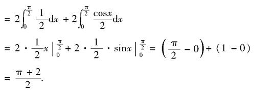
求下列定积分:
下列求导数运算正确的是( )
A.(x+)′=1+ B.(log2x)′=
C.(3x)′=3xlog3e D.(x2cosx)′=-2xsinx
已知函数f(x)=x3-ax-1.
(1)若f(x)在(-∞,+∞)上单调递增,求实数a的取值范围;
(2)是否存在实数a,使f(x)在(-1,1)上单调递减?若存在,求出a的取值范围;若不存在试说明理由.
已知函数f(x)=在[1,+∞)上为减函数,则实数a的取值范围为________.
函数F(x)=t(t-4)dt在[-1,5]上( )
A.有最大值0,无最小值
B.有最大值0和最小值-
C.有最小值-,无最大值
D.既无最大值也无最小值
若α=k·180°+45°(k∈Z),则α在( )
A.第一或第三象限 B.第一或第二象限
C.第二或第四象限 D.第三或第四象限
已知角θ的顶点为坐标原点,始边为x轴的正半轴,若P(4,y)是角θ终边上的一点,且sinθ=-,则y=________.
若α为三角形的一个内角,且sinα+cosα=,则这个三角形是( )
A.正三角形 B.直角三角形
C.锐角三角形 D.钝角三角形
4cos50°-tan40°=( )
A. B.
C. D.2-1