题目内容


已知函数f(x)=loga(ax-1)(a>0且a≠1).

(1)证明函数f(x)的图象在y轴的一侧;

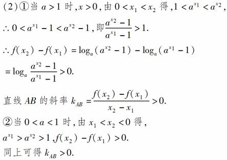
(2)设A(x1y1)、B(x2y2)(x1<x2)是f(x)图象上两点,证明直线AB的斜率大于0.


 (1)由ax-1>0,得ax>1.

a>1时,解得x>0,此时f(x)的图象在y轴右侧;

当0<a<1时,解得x<0,此时f(x)的图象在y轴左侧.

∴对a>0且a≠1的任意实数af(x)的图象总在y轴一侧.

 


练习册系列答案
相关题目

违法和不良信息举报电话:027-86699610 举报邮箱:58377363@163.com

精英家教网