题目内容


如图,四棱锥PABCD中,底面ABCD为平行四边形,∠DAB=60°,AB=2ADPD⊥底面ABCD.

(1)证明:PABD

(2)设PDAD,求二面角APBC的余弦值.


 (1)因为∠DAB=60°,AB=2AD

由余弦定理得BDAD.

从而BD2AD2AB2,故BDAD.

PD⊥底面ABCD,可得BDPD.

所以BD⊥平面PAD,故PABD.

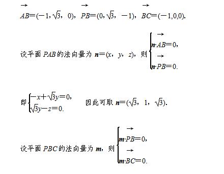
(2)如图,以D为坐标原点,AD的长为单位长,射线DAx轴的正半轴,建立空间直角坐标系Dxyz,则A(1,0,0),B(0,,0),C(-1,,0),P(0,0,1).

可取m=(0,-1,-).cos〈mn〉==-.

故二面角APBC的余弦值为-.


练习册系列答案
相关题目

违法和不良信息举报电话:027-86699610 举报邮箱:58377363@163.com

精英家教网