题目内容
已知双曲线x2-y2=1,过右焦点F2的直线与右支交于A、B两点,且线段AF2、BF2的长度分别为m、n.(1)求证:m·n≥1;
(2)若m>n,当直线AB的斜率k∈[
,3]时,求
的取值范围.
答案:(1)证明:设双曲线的右准线为l,当AB垂直x轴时,A、B两点纵坐标分别是1,-1,
此时m·n=1符合条件.
当AB不垂直x轴时,不妨令m>n.
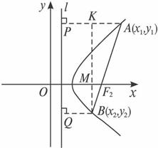
作AP⊥l于P,BQ⊥l于Q,BK⊥AP于K,
M为BK与x轴交点(如下图).
![]()
由双曲线的定义:|AP|=
m,|BQ|=
n,
又F2到l的距离d=
,
由直角三角形相似性质得:
,
即
.
化简得2m·n=m+n≥
,
∴m·n≥1.∵m≠n,∴m·n>1成立,综上得m·n≥1.
(2)解:F2的坐标为(
,0),设AB的方程为x=ty+
,
代入x2-y2=1,得(t2-1)y2+
ty+1=0.设A(x1,y1),B(x2,y2).
由韦达定理:y1+y2=
,y1·y2=
,令
=λ,则λ>1,从而有y1=-λy2.
∴![]()
消去y2得
,
从而λ+
-6,由k∈[
,3]得t2=
∈[
],∴3≤λ+
≤4.
∵λ>1,∴λ∈[
].
练习册系列答案
相关题目
已知双曲线x2-y2=a2(a>0)的左、右顶点分别为A、B,双曲线在第一象限的图象上有一点P,∠PAB=α,∠PBA=β,∠APB=γ,则( )
| A、tanα+tanβ+tanγ=0 | B、tanα+tanβ-tanγ=0 | C、tanα+tanβ+2tanγ=0 | D、tanα+tanβ-2tanγ=0 |