题目内容
已知圆(x-3)2+(y+4)2=4和直线y=kx相交于P,Q两点,则A.12
B.16
C.21
D.25
【答案】分析:设出P、Q两点的坐标,因为O点是坐标原点,所以向量
的坐标就是P、Q两点的坐标,把圆的方程和直线方程联立化为关于x的一元二次方程后,由根与系数关系可得x1x2,
转化为含x1x2的式子后可求得结果.
解答:解:设P(x1,y1),Q(x2,y2),
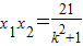
由(x-3)2+(y+4)2=4和y=kx联立得:x2-6x+9+k2x2+8kx+16-4=0
即:(k2+1)x2+(8k-6)x+21=0,
则
,
=
.
故选C.
点评:本题考查了平面向量数量积的运算,考查了直线与圆的关系,考查了数学转化思想和整体运算思想,直线和圆的交点问题常采用设而不求法,此题为中低档题.
解答:解:设P(x1,y1),Q(x2,y2),
由(x-3)2+(y+4)2=4和y=kx联立得:x2-6x+9+k2x2+8kx+16-4=0
即:(k2+1)x2+(8k-6)x+21=0,
则
故选C.
点评:本题考查了平面向量数量积的运算,考查了直线与圆的关系,考查了数学转化思想和整体运算思想,直线和圆的交点问题常采用设而不求法,此题为中低档题.
练习册系列答案
相关题目
已知圆(x-3)2+y2=4和直线y=mx的交点分别为P、Q两点,O为坐标原点,则|
|?|
|=( )
| OP |
| OQ |
| A、1+m2 | ||
B、
| ||
| C、5 | ||
| D、10 |