题目内容
如图,在平面直角坐标系
中,椭圆
的焦距为2,且过点
。
![]()
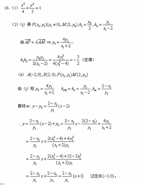
(Ⅰ)求椭圆E的方程;
(Ⅱ)若点A.B分别是椭圆E的左、右顶点,直线经过点B且垂直于
轴,点P是椭圆上异于A,B的任意一点,直线AP交于点M。
(1)设直线
的斜率为
,直线
的斜率为
,证明
的定值;
(2)设过点M垂直于PB的直线为
,证明:直线
过定点,并求出定点的坐标。
练习册系列答案
相关题目
题目内容
如图,在平面直角坐标系
中,椭圆
的焦距为2,且过点
。
![]()
(Ⅰ)求椭圆E的方程;
(Ⅱ)若点A.B分别是椭圆E的左、右顶点,直线经过点B且垂直于
轴,点P是椭圆上异于A,B的任意一点,直线AP交于点M。
(1)设直线
的斜率为
,直线
的斜率为
,证明
的定值;
(2)设过点M垂直于PB的直线为
,证明:直线
过定点,并求出定点的坐标。