题目内容


已知函数f(x)=xln x.

(1)求f(x)的单调区间和极值;

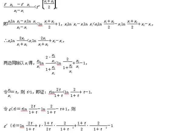
(2)设A(x1f(x1)),B(x2f(x2)),且x1x2,证明:


解:(1)f(x)的定义域为(0,+∞),

f′(x)=ln xx·=1+ln x.

f′(x)>0,则ln x>-1=ln ,∴x>;令f′(x)<0,则ln x<-1=ln ,∴0<x<

f(x)的单调递增区间是,单调递减区间是

f(x)极小值fln =-f(x)无极大值.

(2)不防设x1<x2

=ln

=ln

x(x>0),h(x)=ln(1+x)-x

h′(x)=h(x)在(0,+∞)上单调递减,

h(x)<h(0)=0,

即ln (1+x)<x,即g′(t)=恒成立,

g(t)在(1,+∞)上是减函数,∴g(t)<g(1)=0,


练习册系列答案
相关题目

违法和不良信息举报电话:027-86699610 举报邮箱:58377363@163.com

精英家教网