题目内容

已知圆O的半径为R(R为常数),它的内接三角形ABC满足成立,其中分别为的对边,求三角形ABC面积S的最大值.

 

【答案】

【解析】

试题分析:本题主要考查解三角形中的正弦定理余弦定理的应用以及运用倍角公式、两角和与差的正弦公式等三角公式进行三角变换的能力和利用三角形面积求最值,考查基本运算能力.先利用正弦定理将角换成边,再利用余弦定理求出,得到特殊角的值,利用三角形面积公式列出表达式,利用正弦定理将边换成角,将表示,利用两角和与差的正弦公式、倍角公式化简表达式,求三角函数的最值.

试题解析:由,

由正弦定理得代入得

,由余弦定理

---6分

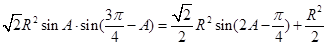
所以

=

当且仅当时,             12分

考点:1.正弦定理;2.余弦定理;3.两角和与差的正弦公式;4.三角形面积公式;5.三角函数最值.

 

练习册系列答案
相关题目

违法和不良信息举报电话:027-86699610 举报邮箱:58377363@163.com

精英家教网