题目内容
如图,AD与BC是四面体ABCD中互相垂直的棱,BC=2,若AD=2c,且AB+BD=AC+CD=2a,其中a、c为常数,则四面体ABCD的体积的最大值是 .
【答案】分析:作BE⊥AD于E,连接CE,说明B与C都是在以AD为焦距的椭球上,且BE、CE都垂直于焦距AD,BE=CE.
取BC中点F,推出四面体ABCD的体积的最大值,当△ABD是等腰直角三角形时几何体的体积最大,求解即可.
解答:
解:作BE⊥AD于E,连接CE,则AD⊥平面BEC,所以CE⊥AD,
由题设,B与C都是在以AD为焦点的椭圆上,且BE、CE都垂直于焦距AD,
AB+BD=AC+CD=2a,显然△ABD≌△ACD,所以BE=CE.
取BC中点F,∴EF⊥BC,EF⊥AD,四面体ABCD的体积的最大值,只需EF最大即可,
当△ABD是等腰直角三角形时几何体的体积最大,∵AB+BD=AC+CD=2a,
∴AB=a,所以EB=
,EF=
,
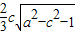
所以几何体的体积为:
×
=
.
故答案为:
.
点评:本题考查棱柱、棱锥、棱台的体积,考查空间想象能力,逻辑推理能力以及计算能力.
取BC中点F,推出四面体ABCD的体积的最大值,当△ABD是等腰直角三角形时几何体的体积最大,求解即可.
解答:
由题设,B与C都是在以AD为焦点的椭圆上,且BE、CE都垂直于焦距AD,
AB+BD=AC+CD=2a,显然△ABD≌△ACD,所以BE=CE.
取BC中点F,∴EF⊥BC,EF⊥AD,四面体ABCD的体积的最大值,只需EF最大即可,
当△ABD是等腰直角三角形时几何体的体积最大,∵AB+BD=AC+CD=2a,
∴AB=a,所以EB=
所以几何体的体积为:
故答案为:
点评:本题考查棱柱、棱锥、棱台的体积,考查空间想象能力,逻辑推理能力以及计算能力.
练习册系列答案
相关题目