题目内容
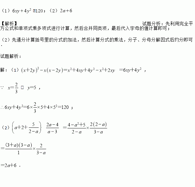
(1)先化简,再求值: ,其中, ;
(2)计算: .
为了估计不透明的袋子里装有多少白球,先从袋中摸出10个球都做上标记,然后放回袋中去,充分摇匀后再摸出10个球,发现其中有一个球有标记,那么你估计袋中大约有_____个白球.
对于二次函数y=(x﹣1)2+2的图象,下列说法正确的是( )
A. 开口向下 B. 对称轴是x=﹣1
C. 顶点坐标是(1,2) D. 与x轴有两个交点
已知不等式组只有一个整数解,则的取值范围一定只能为( ).
A. B. C. D.
点关于轴的对称点在( ).
A. 第一象限 B. 第二象限 C. 第三象限 D. 第四象限
已知等腰三角形的底角是,腰长是8,则其腰上的高是____ .
如果是一个完全平方式,则的值是( ).
先化简,再求值: ,其中x=4
如图,△ABC的三个顶点分别在直线a、b上,且a∥b,若∠1=120°,∠2=80°,则∠3的度数是( )
A. 40° B. 60° C. 80° D. 120°