题目内容
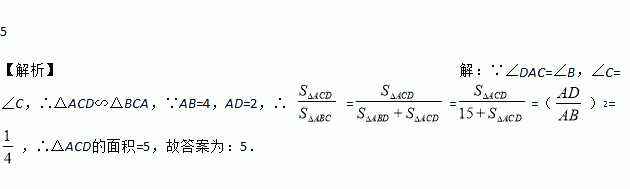
如图,D是△ABC的边BC上一点,AB=4,AD=2,∠DAC=∠B.如果△ABD的面积为15,那么△ACD的面积为________.
下列计算正确的是( )
A. 3a+2b=5ab B. 4m2 n-2mn2=2mn
C. -12x+7x=-5x D. 5y2-3y2=2
已知x=3是方程ax﹣6=a+10的解,则a=______.
定义:对于给定的两个函数,任取自变量x的一个值,当x<0时,它们对应的函数值互为相反数;当x≥0时,它们对应的函数值相等,我们称这样的两个函数互为相关函数.例如:一次函数y=x﹣1,它们的相关函数为y=.
(1)已知点A(﹣5,8)在一次函数y=ax﹣3的相关函数的图象上,求a的值;
(2)已知二次函数y=﹣x2+4x﹣.
①当点B(m, )在这个函数的相关函数的图象上时,求m的值;
②当﹣3≤x≤3时,求函数y=﹣x2+4x﹣的相关函数的最大值和最小值.
已知关于的方程x2+2x+m﹣2=0.
(1)若该方程有两个不相等的实数根,求实数m的取值范围;
(2)当该方程的一个根为1时,求m的值及方程的另一根.
据有关实验测定,当气温处于人体正常体温(37°C)的黄金比值时,人体感到最舒适.这个气温约为_______°C (精确到1°C)
方程2x2-5x+3=0的根的情况是( )
A. 有两个相等的实数根 B. 有两个不相等的实数根
C. 无实数根 D. 两根异号
小明编写了一个如下程序:
输入→→立方根→倒数→算术平方根→,则为 ;
已知关于的一元二次方程有两个不相等的实数根.
⑴求的取值范围;
⑵若为整数且, 是方程的一个根,求代数式的值.