题目内容

计算:

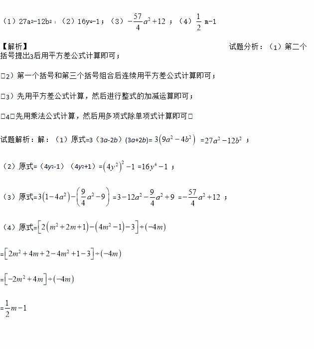
(1) (3a-2b)(9a+6b) (2)(2y-1)(4y2+1)(2y+1)

(3)3(2a+1)(-2a+1)-(a-3)(3+a) (4)[2(m+1)2-(2m+1)(2m-1)-3]÷(-4m)

(1)27a2-12b2 ;(2)16y4-1;(3);(4)m-1 【解析】试题分析:(1)第二个括号提出3后用平方差公式计算即可; (2)第一个括号和第三个括号组合后连续用平方差公式计算即可; (3)先用平方差公式计算,然后进行整式的加减运算即可; (4)先用乘法公式计算,然后用多项式除单项式计算即可. 试题解析:【解析】 (1)原式=3(3a-2b)(3a+2...
练习册系列答案
相关题目

违法和不良信息举报电话:027-86699610 举报邮箱:58377363@163.com

精英家教网