题目内容

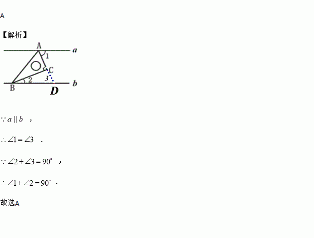
如图,在平行线a、b之间放置一块直角三角板,三角板的顶点A、B分别在直线a,b上,则∠1+∠2=( )

A. 90° B. 85° C. 80° D. 60°

A 【解析】 , . , . 故选A
练习册系列答案
相关题目

如果经过三角形某一个顶点的一条直线可把它分成两个小等腰三角形,那么我们称该三角形为等腰三角形的生成三角形,简称生成三角形.

(1)如图,已知等腰直角三角形ABC,∠A=90°,试说明:△ABC是生成三角形;

(2)若等腰三角形DEF有一个内角等于36°,请你画出简图说明△DEF是生成三角形.(要求画出直线,标注出图中等腰三角形的顶角、底角的度数)

(1)见解析;(2)见解析. 【解析】试题分析:(1)根据等腰直角三角形的性质,可得△ABD、△ACD的形状,可得证明结论; (2)根据顶角是36°,可画底角的角平分线,可得答案,根据顶角是108°的等腰三角形,把顶角分成,可得答案. 试题解析:证明:过点A作AD⊥BC,垂足为D. ∵AB=AC,∠BAC=90°,∴∠B=∠C=45°,∠BAD=∠CAD=∠BAC=45°,...

当x 时,代数式2x-3的值是正数.

> 【解析】 试题分析:先由题意列出不等式,再根据不等式的基本性质即可得到结果。 由题意得2x-3>0,解得x>.

如图,∠B=90°,AB=3,BC=4,CD=12,AD=13.求四边形ABCD的面积.

36. 【解析】试题分析:连接AC,在直角三角形ABC中,由AB及BC的长,利用勾股定理求出AC的长,再由AD及CD的长,利用勾股定理的逆定理得到三角形ACD为直角三角形,根据四边形ABCD的面积=直角三角形ABC的面积+直角三角形ACD的面积,即可求出四边形的面积. 试题解析:【解析】 连接AC.如图所示: ∵∠B=90°,∴△ABC为直角三角形.又∵AB=3,BC=4,∴根...

如图,△ABC中,AB=AC,AD是∠BAC的平分线.已知AB=5,AD=3,则BC的长为(  )

A. 5 B. 6 C. 8 D. 10

C 【解析】因为AB=AC,AD是∠BAC的平分线,所以BC=2BD. 因为BD=4,所以BC=2BD=2×4=8. 故选C.

如图,在等边三角形ABC中,∠B、∠C的平分线相交于点O,作BO、CO的垂直平分线分别交BC于点E、F.小明说:“E、F是BC的三等分点.”你同意他的说法吗?请说明理由.

同意,理由见解析 【解析】试题分析:连接OE、OF,根据等边三角形角平分线的性质,可得∠OBC=∠OCB=30°,由BC的垂直平分线,可知BE=OE,∠EBO=∠EOB=30°,∠OEF=60°,再证,∠OFE=60°,得出△OEF为等边三角形,从而可知EF=OE=BE=OF=FC,得出结论. 试题解析:同意.理由如下: 连接OE、OF, ∵E为BO垂直平分线上的点,且∠O...

如图,BC=32cm,DE是AB的垂直平分线,D是垂足,DE交BC于E,AC=18cm,则△AEC的周长为___cm.

50 【解析】∵DE是AB的垂直平分线, ∴AE=BE. ∴△AEC的周长=AC+CE+AE=AC+BC=18+32=50(cm), 故答案为:50.

某产品的标志图案如图(1)所示,要在所给的图3-122(2)中,把A,B,C三个菱形通过一种或几种变换,使之变为与图(1)一样的图案.

(1)请你在图3-122(2)中作出变换后的图案;(最终图案用实线)

(2)你所用的变换方法是_________.(填序号)

①将菱形B向上平移;②将菱形B绕点O顺时针旋转120°;③将菱形B绕点O旋转180.

①或③ 【解析】试题分析:首先分析①②的不同,变化前后,AC的位置不变,只有B的位置由O的下方变为O的上方,据此即可作出判断. 试题解析:【解析】 (1)观察分析①②的不同,变化前后,AC的位置不变,而B的位置由O的下方变为O的上方,进而可得两者对应点的连线交于点O,即进行了中心对称变化,变换方法是将菱形B绕点O旋转180°,可作图得: (2)变换方法是将菱形B绕点O旋转180...

违法和不良信息举报电话:027-86699610 举报邮箱:58377363@163.com

精英家教网