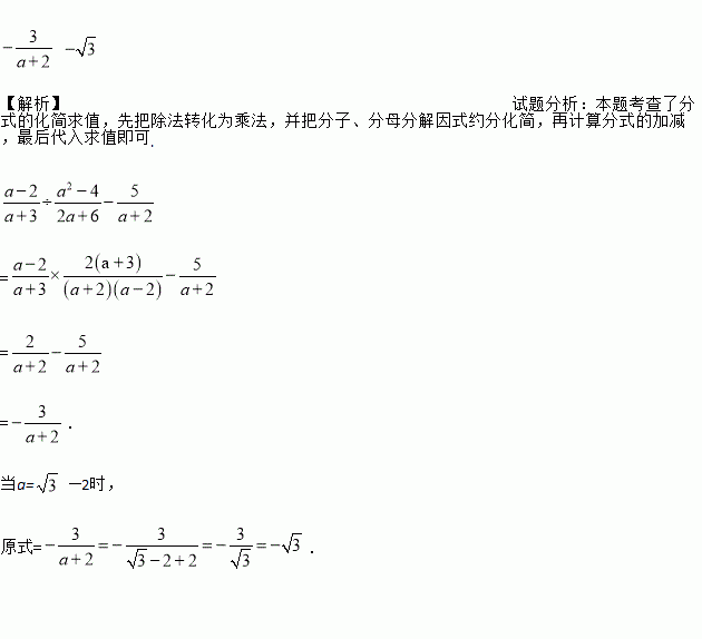
题目内容
先化简,再求值:
,其中a=
-2.
练习册系列答案
相关题目
杭州银泰百货对上周女装的销售情况进行了统计,如下表所示:
颜色 | 黄色 | 绿色 | 白色 | 紫色 | 红色 |
数量(件) | 100 | 180 | 220 | 80 | 550 |
经理决定本周进女装时多进一些红色的,可用来解释这一现象的统计知识是( )
A.平均数 B.中位数 C.众数 D.方差
C 【解析】分析:百货商场经理最值得关注的应该是爱买哪种颜色女装的人数最多,即众数. 解答:【解析】 在决定本周进女装时多进一些红色的,主要考虑的是各色女装的销售的数量,而红色上周销售量最大.由于众数是数据中出现次数最多的数,故考虑的是各色女装的销售数量的众数. 故选C.