题目内容
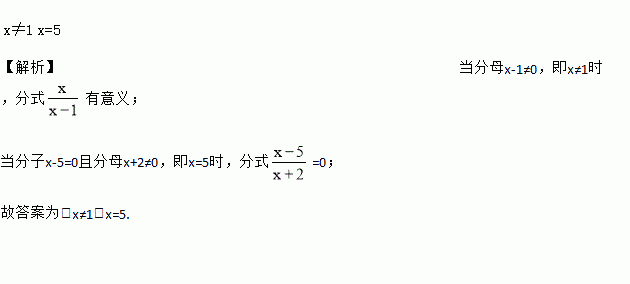
当x________时,分式有意义,当x_________时,分式的值是零.
医学研究发现一种新病毒的直径约为0.000043毫米,这个数用科学记数法表为( )
A. B. C. D.
如图,在五边形ABCDE中,AB=AC=AD=AE, 且AB∥ED,∠AED=70°,则∠DCB=( )
A. 70° B. 165° C. 155° D. 145°
解分式方程:(1)
(2).
若,则=______________
如图,用三角尺可按下面方法画角平分线:在已知的∠AOB 的两边上分别取点M、N,使OM=ON,再分别过点M、N作OA、OB的垂线,交点为P,画射线OP.可证得△POM ≌△PON,OP平分∠AOB.以上依画法证明△POM≌△PON根据的是( )
A. SSS B. SAS C. AAS D. HL
如图,在Rt△ABC中,∠BAC=90°,AB=AC.在平面内任取一点D,连结AD(AD<AB),将线段AD绕点A逆时针旋转90°,得到线段AE,连结DE,CE,BD.
(1)请根据题意补全图1;
(2)猜测BD和CE的数量关系并证明;
(3)作射线BD,CE交于点P,把△ADE绕点A旋转,当∠EAC=90°,AB=2,AD=1时,补全图形,直接写出PB的长.
圆心角为120°,半径为6cm的扇形的弧长是_________________cm(结果不取近似值).
已知点(-1,m)、(2,n)在二次函数的图像上,如果m>n,那么a 0(用“>”或“<”连接).