题目内容
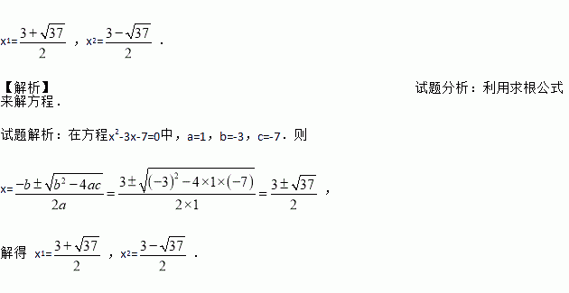
解方程:x2-3x-7=0.
如图,△ABC.
(1)用直尺和圆规作∠A的平分线所在的直线和边BC的垂直平分线(要求:不写作法,保留画图痕迹);
(2)设(1)中的直线和直线交于点P,过点P作PE⊥AB,垂足为点E,过点P作PF⊥AC交AC的延长线于点F.请探究BE和CF的数量关系,并说明理由.
下列命题是假命题的是( )
A. ?如果a∥b,b∥c,那么a∥c
B. 锐角三角形中最大的角一定大于或等于60°
C. 两条直线被第三条直线所截,内错角相等
D. 矩形的对角线相等且互相平分
计算: _________.
如图,已知,则不一定能使的条件是(??)
A. B. C. D.
写出方程x2+x-1=0的一个正根_______
如果一元二次方程ax2+bx+c=0(a≠0)能用公式法求解,那么必须满足的条件是( )
A. b2-4ac≥0 B. b2-4ac≤0 C. b2-4ac>0 D. b2-4ac<0
如图,在四边形ABCD中,对角线AC,BD相交于点O,且AO=CO,BO=DO,在不添加任何辅助线的前提下,要想该四边形成为矩形,只需再加上一个条件是________(填上你认为正确的一个答案即可)
方程(x-5)( x-6)=x-5的解是( )
A. x=5 B. x=5或x=6 C. x=7 D. x=5或x=7