使分式的值为正的条件是(  )

A. B. C. x<0 D. x>0

B 【解析】由题意得 1-3x<0, 解之得 . 故选B.

分式方程的解是( )

A. B. C. D. 无解

C. 【解析】 试题分析:分式方程去分母转化为整式方程,求出整式方程的解得到x的值,经检验即可得到分式方程的解. 去分母得:3x-3=2x, 解得:x=3, 经检验x=3是分式方程的解. 故选C. 考点: 解分式方程.

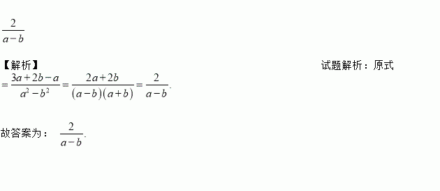
计算: +-

1 【解析】试题分析:根据分式加减的运算法则进行运算即可. 试题解析:原式

化简的结果是( )

A.m+n B.n﹣m C.m﹣n D.﹣m﹣n

A. 【解析】 试题分析:====m+n.故选A.

△ABC中,若∠A=80°,∠B=50°,AC=5,则AB=

5. 【解析】 试题解析:∵∠A=80°,∠B=50°, ∴∠C=180°-80°-50°=50°, ∴AB=AC=5.

等腰△ABC中,AB=AC,一边上的中线BD将这个三角形的周长分为15和12两个部分,则这个等腰三角形的底边长为( )

A. 7 B. 11 C. 7或11 D. 7或10

C 【解析】试题分析:题中给出了周长关系,要求底边长,首先应先想到等腰三角形的两腰相等,寻找问题中的等量关系,列方程求解,然后结合三角形三边关系验证答案.设等腰三角形的底边长为x,腰长为y,则根据题意,得①或②,解方程组①得:x=11,y=8,根据三角形三边关系定理,此时能组成三角形;解方程组②得:x=7,y=10,根据三角形三边关系定理此时能组成三角形,即等腰三角形的底边长是11或7. ...

982+(a-b)2

9604+a2-2ab+b2 【解析】试题分析:把98化为(100-2),利用完全平方公式即可解答. 试题解析: 982+(a-b)2=(100-2)2+a2-2ab+b2=10000-400+4+a2-2ab+b2=9604+a2-2ab+b2.

违法和不良信息举报电话:027-86699610 举报邮箱:58377363@163.com

精英家教网