如图,在△ABC中,∠BAC=90º,延长BA到点D,使AD=AB,E,F分别是边BC,AC的中点,试猜想DF与EC的数量关系,并证明你的猜想.

见解析 【解析】试题分析:由直角三角形的性质和三角形中位线定理得出AE=BC=EC,EF∥AB,EF= AB,得出AD∥EF,AD=EF,证出四边形AEFD是平行四边形,得出AE=DF,即可得出结论. 【解析】 DF=EC;理由如下: 连接AE,如图所示: ∵∠BAC=90°,E,F分别是边BC,AC的中点, ∴AE=BC=EC,E...

如果关于x的方程无解,则m等于( )

A. 3 B. 4 C. -3 D. 5

A 【解析】去分母,得2-x=-m,所以x=2+m. 若分式方程无解,则x=2+m是分式方程的增根,即2+m=5, 所以m=3. 故答案为:3.

小明用电脑录入汉字文稿的速度是他手抄汉字文稿速度的4倍,若小明手抄汉字文稿的速度为m个字/小时.那么他用电脑录入4000字文稿比手抄少用多少小时?

(小时). 【解析】试题分析:根据手抄录入时间-电脑录入时间=时间差列出代数式运算即可. 试题解析:根据题意,可得: 他用电脑录入4000字文稿比手抄少用小时.

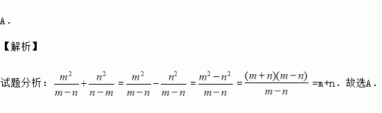
=_____.

【解析】试题解析:原式 故答案为:

如图,在△ABC中,AB=AC,BD⊥AC于D,CE⊥AB于E,BD、CE相交于F.

求证:AF平分∠BAC.

证明见解析. 【解析】试题分析:先根据AB=AC,可得∠ABC=∠ACB,再由垂直,可得90°的角,在△BCE和△BCD中,利用内角和为180°,可分别求∠BCE和∠DBC,利用等量减等量差相等,可得FB=FC,再易证△ABF≌△ACF,从而证出AF平分∠BAC. 试题解析:证明:∵AB=AC(已知), ∴∠ABC=∠ACB(等边对等角). ∵BD、CE分别是高, ∴...

等腰三角形周长为36cm,两边长之比为4:1,则底边长为( )

A. 16cm B. 4cm C. 20cm D. 16cm或4cm

B 【解析】因为两边长之比为4:1,所以设较短一边为x,则另一边为4x; (1)假设x为底边,4x为腰;则8x+x=36,x=4,即底边为4; (2)假设x为腰,4x为底边,则2x+4x=36,x=6,4x=24; ∵6+6<24,∴该假设不成立. 所以等腰三角形的底边为4cm. 故选B.

如图,AB⊥AC,BF是∠ABC的平分线,若∠BFC=110°,求∠C的度数.

∠C=50° 【解析】试题分析:因为∠BFC=110°,根据三角形的外角等于不相邻的两个内角之和,可以得到∠ABF+∠A=110° ,所以∠ABF=110°-90°=20°,因为BF是∠ABC的角平分线,所以可以得到∠ABC=2∠ABF=40°,即在△ABC中∠C=180°-90°-40°=50°. 试题解析: ∵∠BFC=110°, ∴∠ABF=110°-90°=20°,...

(5-x2)2等于_______;

25-10x2+x4 【解析】根据完全平方公式可得:(5-x2)2=25-10x2+x4.

违法和不良信息举报电话:027-86699610 举报邮箱:58377363@163.com

精英家教网