若分式有意义,则x的取值范围为_________.

x≠-1 【解析】由题意得 x+1≠0, ∴x≠-1.

计算 的解是_____________

-7 【解析】去分母得:3-x=10,解得:x=-7,检验:经检验知x=-7是原方程的根,所以原方程的根是x=-7.故答案为:x=-7.

计算: --

x+2 【解析】试题分析:根据分式加减的运算法则进行运算即可. 试题解析:原式

已知M= ,N= ,若a≠1,则M与N的大小关系为( )

A. M>N B. M<N C. M≤N D. M≥N

C 【解析】∵M=,N=, ∴M-N=- = = =-≤0, ∴M≤N. 故选C.

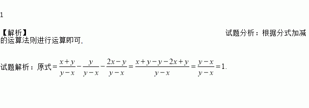
=_____.

【解析】试题解析:原式 故答案为:

如图,在△ABC 中,∠B 与∠C 的平分线交于点O, 过O 点作DE ∥BC,分别交AB、AC于D、E,若AB=5,AC=4,求△ADE 的周长.

9 【解析】试题分析:由在△ABC中,∠B与∠C的平分线交于点O,过点O作DE∥BC,易证得△DOB与△EOC是等腰三角形,即DO=DB,EO=EC,继而可得△ADE的周长等于AB+AC,即可求得答案. 试题解析: ∵在△ABC中,∠B与∠C的平分线交于点O, ∴∠DBO=∠CBO,∠ECO=∠BCO, ∵DE∥BC, ∴∠DOB=∠CBO,∠EOC=∠BCO,...

如图,在矩形ABCD中,AB<BC,AC,BD相交于点O,则图中等腰三角形的个数是

A.8 B.6 C.4 D.2

C 【解析】 试题分析:∵四边形ABCD是矩形,∴AO=BO=CO=DO。 ∴△ABO,△BCO,△DCO,△ADO都是等腰三角形。 故选C。

如果函数是二次函数,那么的值一定是( )

A. 0 B. 3 C. 0或3 D. 1或2

A 【解析】试题分析:根据二次函数的定义,得: k2-3k+2=2, 解得k=0或k=3; 又∵k-3≠0, ∴k≠3. ∴当k=0时,这个函数是二次函数. 故选A.

违法和不良信息举报电话:027-86699610 举报邮箱:58377363@163.com

精英家教网