当y=x+时, 的值是_________.

-3 【解析】 = = ∵y=x+, ∴x-y=, ∴原式==-3.

解分式方程:

. 【解析】试题分析:首先进行去分母,将分式方程转化为整式方程,然后求出方程的解,最后需要对方程的解进行检验,看是否能使原分式的分母为零. 试题解析:去分母得:2+x(x+2)=x2-4, 解得:x=-3, 检验:当x=-3时,(x+2)(x-2)≠0, 故x=-3是原方程的根.

如果关于x的方程无解,则m等于( )

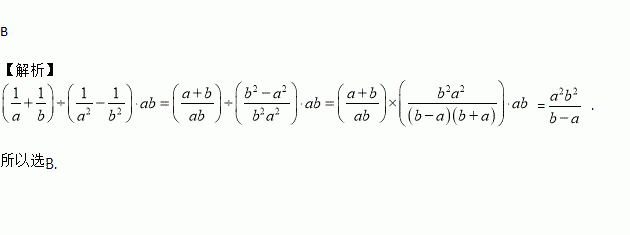
A. 3 B. 4 C. -3 D. 5

A 【解析】去分母,得2-x=-m,所以x=2+m. 若分式方程无解,则x=2+m是分式方程的增根,即2+m=5, 所以m=3. 故答案为:3.

计算: --

x+2 【解析】试题分析:根据分式加减的运算法则进行运算即可. 试题解析:原式

小明用电脑录入汉字文稿的速度是他手抄汉字文稿速度的4倍,若小明手抄汉字文稿的速度为m个字/小时.那么他用电脑录入4000字文稿比手抄少用多少小时?

(小时). 【解析】试题分析:根据手抄录入时间-电脑录入时间=时间差列出代数式运算即可. 试题解析:根据题意,可得: 他用电脑录入4000字文稿比手抄少用小时.

=_____.

【解析】试题解析:原式 故答案为:

等腰三角形周长为36cm,两边长之比为4:1,则底边长为( )

A. 16cm B. 4cm C. 20cm D. 16cm或4cm

B 【解析】因为两边长之比为4:1,所以设较短一边为x,则另一边为4x; (1)假设x为底边,4x为腰;则8x+x=36,x=4,即底边为4; (2)假设x为腰,4x为底边,则2x+4x=36,x=6,4x=24; ∵6+6<24,∴该假设不成立. 所以等腰三角形的底边为4cm. 故选B.

物体从高处自由下落的高度h(m)与物体下落的时间t(s)之间的函数关系式是:h=gt2(g表示重力加速度,g取9.8m/s2).某人发现头顶上空490m处有一炸弹自由下落,其地面杀伤半径为50m,此人发现后,立即以6m/s的速度逃离,那么此人有无危险?

无危险 【解析】试题分析:求出炸弹下落的时间,再算出人在此时间跑出的路程,和50米比较大小即可. 试题解析: 【解析】 无危险, 当h=490时,490=×9.8×t2,解得:t=10秒, 此时人跑的路程为:6×10=60米>50米, 所以此人无危险.

违法和不良信息举报电话:027-86699610 举报邮箱:58377363@163.com

精英家教网