题目内容
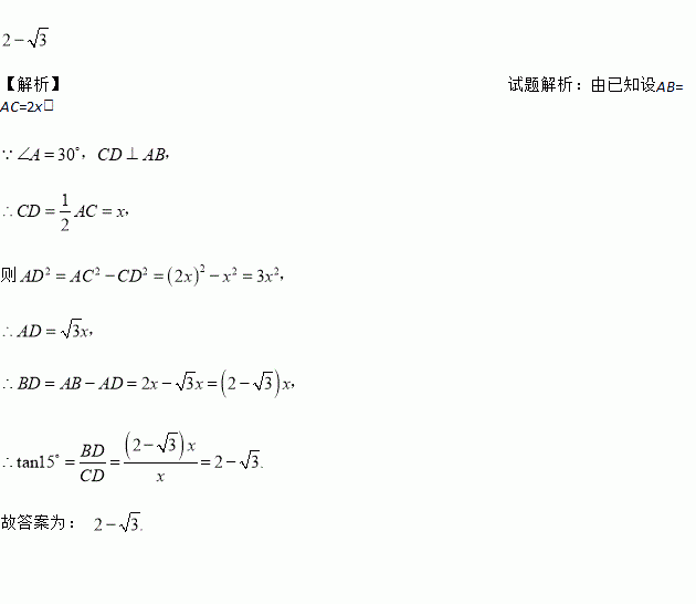
如图,在顶角为的等腰三角形中, ,若过点作于点, . 根据图形计算=__________.
把二次函数y=x2﹣2x+3化成y=a(x﹣h)2+k的形式为_____.
解不等式组: .
不等式组的解集是( )
A. x>2 B. x>1 C. 1<x<2 D. 无解
(8分)如图,某校要在长为,宽为的长方形操场上修筑宽度相同的道路(图中阴影部分),在余下的空白部分种上草坪,要使草坪的面积为,求道路的宽.
冠县开展关于精准扶贫、精准扶贫的决策部署以来,某贫困户2015年人均纯收入为2620元,经过帮扶到2017年人均纯收入为3850元,设该贫困户每年人均纯收入的平均增长率为,则下面列出的方程中正确的是( )
A. B.
C. D.
如图,在⊙中,直径弦,则下列结论中正确的是( )
A. B. C. D.
计算的值是( )
A. 2 B. 3 C. D. 2
对于平面直角坐标系xOy中的点P,给出如下定义:记点P到x轴的距离为,到y轴的距离为,若,则称为点P的最大距离;若,则称为点P的最大距离.
例如:点P(, )到到x轴的距离为4,到y轴的距离为3,因为3<4,所以点P的最大距离为.
(1)①点A(2, )的最大距离为________;
②若点B(, )的最大距离为,则的值为________;
(2)若点C在直线上,且点C的最大距离为,求点C的坐标;
(3)若⊙O上存在点M,使点M的最大距离为,直接写出⊙O的半径r的取值范围.