题目内容
解下列方程
(1)x2+2x-1=0
(2)3(x-1)2=x(x-1)
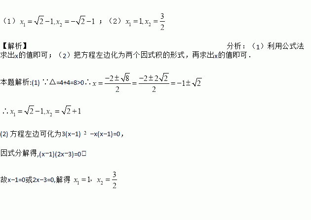
(1);(2) 【解析】分析:(1)利用公式法求出x的值即可;(2)把方程左边化为两个因式积的形式,再求出x的值即可. 本题解析:(1) ∵△=4+4=8>0∴ ∴ (2) 方程左边可化为3(x?1) ?x(x?1)=0, 因式分解得,(x?1)(2x?3)=0, 故x?1=0或2x?3=0,解得
练习册系列答案
相关题目
题目内容
解下列方程
(1)x2+2x-1=0
(2)3(x-1)2=x(x-1)
(1);(2) 【解析】分析:(1)利用公式法求出x的值即可;(2)把方程左边化为两个因式积的形式,再求出x的值即可. 本题解析:(1) ∵△=4+4=8>0∴ ∴ (2) 方程左边可化为3(x?1) ?x(x?1)=0, 因式分解得,(x?1)(2x?3)=0, 故x?1=0或2x?3=0,解得