网址:http://m.1010jiajiao.com/timu_id_3959276[举报]
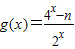
已知函数是偶函数.(1)求实数的值;(2)设函数,若函数与的图象有且只有一个公共点,求实数的取值范围.
已知函数是偶函数.
(1)求实数的值;
(2)设函数,若函数与的图象有且只有一个公共点,求实数的取值范围.